Для студентов ИДДО НИУ «МЭИ» по предмету Математический анализКурс Математический анализ - КМ-2. Дифференцирование. ТестированиеКурс Математический анализ - КМ-2. Дифференцирование. Тестирование
4,99521283
2025-04-052025-04-05СтудИзба
💼 База ответов к тесту КМ-2: Дифференцирование (Курс Подкопаева Виктория Александровна) 📊
Ответы к заданиям КМ-2: Курс Математический анализ - КМ-2. Дифференцирование. Тестирование
Описание
Курс Математический анализ - КМ-2. Дифференцирование. Тестирование
🔴 Другие тесты | Отдельные ответы по предмету | Помощь со сдачей ⬅️
➡️Любой предмет | Любой тест | Любая практика | ВКР (Диплом)⬅️
🗝️ ▶Помощь с сессией/долгами под ключ ◀ 🗝️
🔴 Другие тесты | Отдельные ответы по предмету | Помощь со сдачей ⬅️

➡️Любой предмет | Любой тест | Любая практика | ВКР (Диплом)⬅️
🗝️ ▶Помощь с сессией/долгами под ключ ◀ 🗝️
Список вопросов
Уравнение нормали к графику функции y = ex в точке x=0 есть:
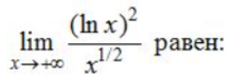
Найти (x3 + x2 + 7) (4):
Пусть график функции y=f(x) проходит через точку М (x0,y0). Тогда уравнение у - y0 = f'(x0)(x-x0) является уравнением ...
Eслн f(x)=log3(sin²2+5), To f'(x) pравна:
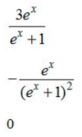
Если f(x) = ex+2/e+1 , то f'(x) равна:

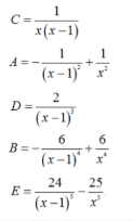
Найдены производные функции. Расположите их по возрастанию порядка, начиная с самой функции (у, у, у" и т.д.)

Необходимо указать все верные ответы
Производная функции у = cos2х равна:
Производная функции у = cos2х равна:
Характеристики ответов (шпаргалок) к заданиям
Тип
Коллекция: Ответы (шпаргалки) к заданиям
Предмет
Учебное заведение
Номер задания
Теги
Просмотров
1
Качество
Идеальное компьютерное
Количество вопросов
Преподаватели

Гарантия сдачи без лишних хлопот! ✅🎓 Ответы на тесты по любым дисциплинам, базы вопросов, работы и услуги для Синергии, МЭИ и других вузов – всё уже готово! 🚀 🎯📚 Гарантия качества – или возврат денег! 💰✅