Для студентов ИДДО НИУ «МЭИ» по предмету Математический анализКурс Математический анализ - КМ-4. Функции нескольких переменных. ТестированиеКурс Математический анализ - КМ-4. Функции нескольких переменных. Тестирование
4,99521648
2025-05-232025-05-23СтудИзба
💼 База ответов к тесту КМ-4. Функции нескольких переменных (Курс Математический анализ) 📊
Ответы к заданиям КМ-4: Курс Математический анализ - КМ-4. Функции нескольких переменных. Тестирование
Описание
Курс Математический анализ - КМ-4. Функции нескольких переменных. Тестирование
🔴 Другие тесты | Отдельные ответы по предмету | Помощь со сдачей ⬅️
➡️Любой предмет | Любой тест | Любая практика | ВКР (Диплом)⬅️
🗝️ ▶Помощь с сессией/долгами под ключ ◀ 🗝️
🔴 Другие тесты | Отдельные ответы по предмету | Помощь со сдачей ⬅️

➡️Любой предмет | Любой тест | Любая практика | ВКР (Диплом)⬅️
🗝️ ▶Помощь с сессией/долгами под ключ ◀ 🗝️
Список вопросов
Точкой локального минимума для функции f= x4 - 4ху + y2 является точка:
Уравнение касательной плоскости к поверхности z= x2 + y2 в точке (1; 1) есть:
Установите соответствие
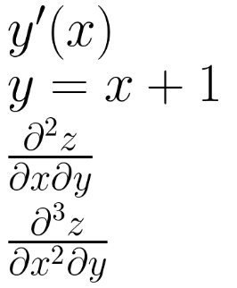
Выберите два варианта обозначения смешанной производной

Линиями уровня функции z=3x² + 8y² являются:
Установить соответствие между функциями и их вторыми частными производными:
Частная производная du/dy функции u = (x+y) - e2ху равна:
Дана функция z=x³ + y³, чтобы вычислить z'''хх в точке (1, 0) необходимо
Форма
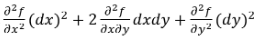
определяет дифференциал функции f(x, y) (из класса C2) какого порядка?

Характеристики ответов (шпаргалок) к заданиям
Тип
Коллекция: Ответы (шпаргалки) к заданиям
Предмет
Учебное заведение
Номер задания
Теги
Просмотров
9
Качество
Идеальное компьютерное
Количество вопросов
Преподаватели

Гарантия сдачи без лишних хлопот! ✅🎓 Ответы на тесты по любым дисциплинам, базы вопросов, работы и услуги для Синергии, МЭИ и других вузов – всё уже готово! 🚀 🎯📚 Гарантия качества – или возврат денег! 💰✅