Для студентов ОСЭК по предмету Математические методы решения прикладных профессиональных задачОтветы на все тесты Математические методы решения прикладных профессиональных задачОтветы на все тесты Математические методы решения прикладных профессиональных задач
5,0055610
2025-09-282025-09-28СтудИзба
☀️Ответы на все тесты Математические методы решения прикладных профессиональных задач | ОСЭК 100% правильно☀️
ДЗ Ответы на все тесты: Ответы на все тесты Математические методы решения прикладных профессиональных задач
Новинка
-14%
Описание
📑 ▶️ База ответов ко всем тестам для ОСЭК (жми на текст!) 📃 ◀️
✒️▶️ Готовые работы и услуги для ОСЭК! (жми на текст!) 😊◀️
📇▶️Помощь с закрытием ВСЕГО семестра (жми на текст!) ◀️ 📇
Ответы на все тесты Математические методы решения прикладных профессиональных задач для ОСЭК, полностью правильные,помогут при решении итогового тестирования :)
Для поиска нужного ответа, воспользуйтесь поиском ниже
Показать/скрыть дополнительное описание
✒️▶️ Готовые работы и услуги для ОСЭК! (жми на текст!) 😊◀️
📇▶️Помощь с закрытием ВСЕГО семестра (жми на текст!) ◀️ 📇
Ответы на все тесты Математические методы решения прикладных профессиональных задач для ОСЭК, полностью правильные,помогут при решении итогового тестирования :)
Для поиска нужного ответа, воспользуйтесь поиском ниже

Показать/скрыть дополнительное описание
Математические методы решения прикладных профессиональных задач ОСЭК тест итоговый ответы купить.
Список вопросов
Алгебраическое дополнение каждого элемента равно:
Выберите треугольную матрицу из предложенных.
![]()

Диагональной называется матрица, у которой:
Значение определителя не меняется
Как называется диагональная матрица, у которой все элементы главной диагонали – единицы?
Какая из матриц является диагональной?
![]()

Крамеровскими системами линейных уравнений называют системы, для которых матрица коэффициентов:
Матрица – это:
Методом обратной матрицы может быть решена:
Минор определителя – это:
Может быть не равен нулю определитель:
Найдите алгебраическое дополнение A32 матрицы A = ![]()

Найдите определитель матрицы A= ![]()

Найдите произведение матриц
![]()


Определитель – это:
Определитель третьего порядка находится по правилу:
Определитель четвертого порядка можно вычислить:
При умножении матрицы на единичную матрицу будет получена:
Раздел математики, изучающий определители и матрицы, называется:
Разложением определителя по элементам строки называется:
Система линейных уравнений однородна, если
Систему линейных уравнений, имеющей одно или более решений, называют
Систему линейных уравнений, имеющую прямоугольную матрицу, можно решить методом:
Систему линейных уравнений, не имеющей решений, называют
Форма записи системы линейных уравнений A*X=B называется
Форма записи системы линейных уравнений a1x1+a2x2+anxn =b ... называется
Форма записи системы линейных уравнений
называется

Чтобы вычислить произведение матрицы на число, нужно:
Элементами обратной матрицы являются:
К кривым второго порядка не относится
Как выглядит уравнение эллипса с центром в начале координат, пересекающим координатные оси в точках (-5; 0), (5; 0), (0; 3), (0; -3)
![]()

Какие отрезки отсекает прямая 2x+3y-12=0
Каноническое (общее) уравнение прямой имеет вид
![]()

Кривая, уравнение которой
является

Кривая, уравнение которой ![]()

Кривая, уравнение которой x2+y2=1 является
Прямые y=k1x+b1 и y=k2x+b2 параллельны, если:
![]()

Прямые y=k1x+b1 и y=k2x+b2 бесконечно много точек пересечения, если ![]()

Прямые y=k1x+b1 и y=k2x+b2 перпендикулярны, если:
![]()

Прямые y=k1x+b1 и y=k2x+b2 параллельны , если:
![]()

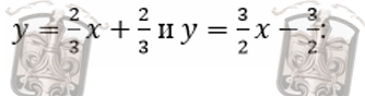
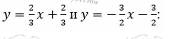
Прямые y=2x+5 и y=5x+2
Прямые y=3x+3 и y=3x-3
Прямые ![]()

Прямые ![]()

Радиус окружности – это:
Расстояние AB между двумя точками A(x1;y1) и B(x2;y2) находится по формуле:

Расстояние AB между двумя точками A(2;3) и B(-1;7) равно:
Угловой коэффициент прямой 3x+2y-1=0 равен:
Укажите верное уравнение гиперболы.
![]()

Укажите верное уравнение эллипса.
![]()

Укажите координаты центра окружности (x+2)2 + (y-2)2 =4
Укажите общее уравнение окружности.
![]()

Уравнение прямой с угловым коэффициентом имеет вид:
![]()

Уравнение прямой, проходящей через точки M1(1;2) и M2(3;4)
Фокус параболы y2 =4x находится в точке:
Чему равен радиус окружности (x-5)2+(y-2)2=16
Эксцентриситет эллипса
равен

Эксцентриситет эллипса характеризует его:
Действительные числа на комплексной плоскости располагаются на:
Для показательной формы комплексного числа
тригонометрическая форма будет выражаться формулой:
![]()


Какое (какие) из перечисленных чисел: 3+2i; 4;-i принадлежит множеству комплексных чисел
Какое (какие) из перечисленных чисел: -1+i; 1; -i называется мнимым
Какой буквой обозначается комплексное число?
Какой буквой обозначается мнимая единица?
Какой ученый впервые ввел термин «комплексное число»?
Корнями уравнения являются числа x2+4=0 являются числа
Мнимая часть lm z комплексного числа z=5+4i равна:
Действительная часть Re z комплексного числа z=-4i равна:
Мнимая часть Lm z комплексного числа z=7-i равна:
Мнимые числа на комплексной плоскости располагаются на:
Модуль комплексного числа z1=4-3i равен:
Модуль комплексного числа z1= -i
Произведение комплексного числа z=6+2i с сопряженным ему числом равно:
Произведение комплексных чисел z1=2+i и z2=3-2i равно:
Произведение сопряженных чисел:
Разность комплексных чисел z1=4+i и z2=5-2i равна:
Скольким градусам равен аргумент действительного положительного числа?
Сумма комплексных чисел z1=3+2i и z2=2-4i равна:
Сумма противоположных чисел:
Сумма сопряженных чисел:
Указать число, противоположное комплексному числу z=-2+5i
Указать число, сопряженное к комплексному числу z=3i
![]()

Указать, на какой комплексной плоскости точка является изображением комплексного числа z=2-5i
![]()

Форма записи комплексного числа z=r(cos φ + i · sin φ)
Форма записи комплексного числа z=a+bi называется
Форма записи комплексного числа z=re называется
Что обозначают символом φ:
В выражении
подынтегральной функцией называют
![]()


Выберете верное правило дифференцирования.
![]()

Выберете не верное утверждение.
Дифференцирование числителя и знаменателя дроби при нахождении предела используется в правиле:
Для определения промежутков монотонности:
Если криволинейная трапеция ограничена сверху графиком f(x), а снизу графиком g(x), то подынтегральная функция для нахождения площади фигуры имеет вид:
![]()

Если функция в точке имеет производную, то ее называют:
Знак второй производной меняется:
Интеграл
равен:

К неопределенностям не относят выражение вида:
![]()

Какое выражение является неопределенностью?
![]()

Касательная к графику функции параллельна оси ОХ:
Криволинейной трапецией называют:
Характеристики домашнего задания
Тип
Коллекция: Домашнее задание
Учебное заведение
Номер задания
Теги
Просмотров
1
Качество
Идеальное компьютерное
Количество вопросов

📚Помощь в сдаче любых видов работ✒️Более 6000 готовых студенческих работ и тестов для НСПК, ОСЭК, НИИДПО, НАДПО и других ВУЗов👨🏫Гарантирую результат или полностью верну деньги!✅💰