Для студентов МГТУ им. Н.Э.Баумана по предмету Линейная алгебра и аналитическая геометрияВекторная алгебра и аналитическая геометрияВекторная алгебра и аналитическая геометрия
5,0058
2023-10-222024-09-03СтудИзба
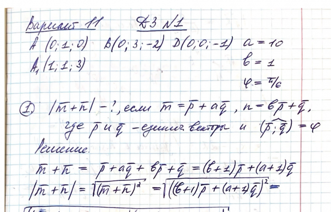
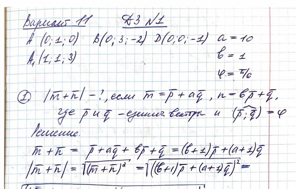
ДЗ 1: Векторная алгебра и аналитическая геометрия вариант 11
-66%
Описание
Вариант 11 - ДЗ №1 - Векторная алгебра и аналитическая геометрия - СМ (часть 1 - Задача 1=>9)
Зачтено на максимальный балл 💥 💥 💥
Спасибо за покупку 🥰🥰 🥰
Задача 1
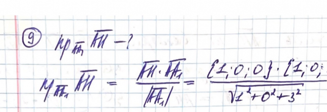
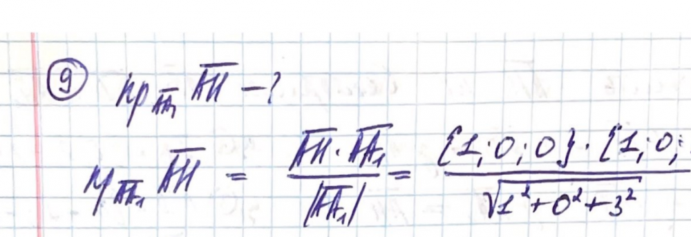
Задача 9

Характеристики домашнего задания
Учебное заведение
Семестр
Номер задания
Вариант
Просмотров
169
Качество
Фото рукописных листов
Размер
7,58 Mb
Список файлов
Вариант 11 - ДЗ №1 - Векторная алгебра и аналитическая геометрия - СМ.pdf

Друзья, спасибо за доверие! Если вам понравилась работа – поставьте 5⭐ и напишите отзыв. Это поможет другим студентам, а мне даст силы делать ещё больше качественных материалов для вас 🔥