Для студентов МГТУ им. Н.Э.Баумана по предмету Линейная алгебра и аналитическая геометрияКривые и поверхности второго порядкаКривые и поверхности второго порядка
4,765161
2023-03-052024-09-03СтудИзба
ДЗ 2: Кривые и поверхности второго порядка вариант 18
-66%
Описание
Вариант 18 - ДЗ №2 - Кривые и поверхности второго порядка - СМ,ФН,РК4,ФН2,2023г
Зачтено на максимальный балл 💥 💥 💥
Спасибо за покупку 🥰🥰🥰 ![]()
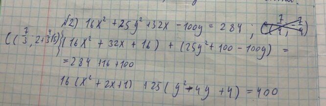
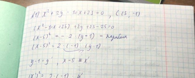
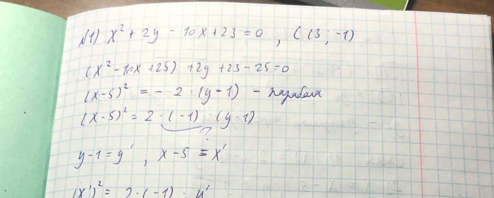
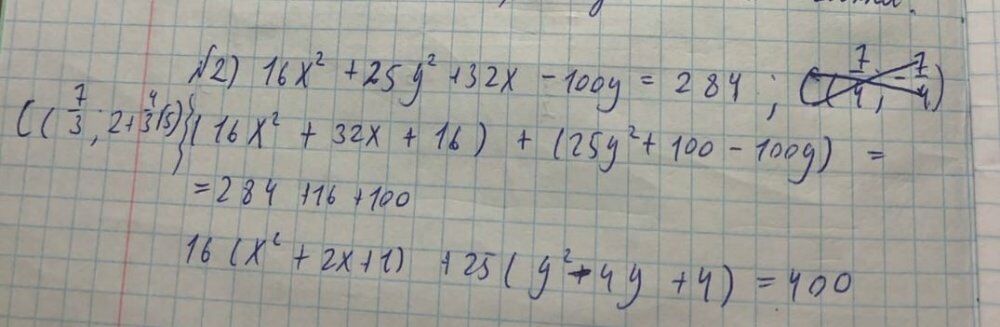
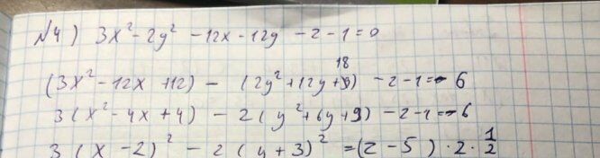
Пример решения:




Характеристики домашнего задания
Учебное заведение
Семестр
Номер задания
Вариант
Просмотров
384
Размер
8,93 Mb
Список файлов
Вариант 18 - ДЗ №2 - Кривые и поверхности второго порядка - СМ.pdf

Друзья, спасибо за доверие! Если вам понравилась работа – поставьте 5⭐ и напишите отзыв. Это поможет другим студентам, а мне даст силы делать ещё больше качественных материалов для вас 🔥
Комментарии

Отзыв
Я вот не знаю на что звезды ставить. Если сервис, то да, определенно 5. Если дз, то 2 звезды. Вот действительно что ли не нашлось лучшего дз, чем эта каша