Для студентов МГТУ им. Н.Э.Баумана по предмету Линейная алгебра и аналитическая геометрияКривые и поверхности второго порядкаКривые и поверхности второго порядка
5,0055
2023-03-052025-04-24СтудИзба
ДЗ 2: Кривые и поверхности второго порядка вариант 18
-66%
Описание
Вариант 18 - ДЗ №2 - Кривые и поверхности второго порядка - ИУ,РЛ,БМТ,ФН12
Зачтено на максимальный балл 💥 💥 💥
Спасибо за покупку 🥰🥰🥰 ![]()
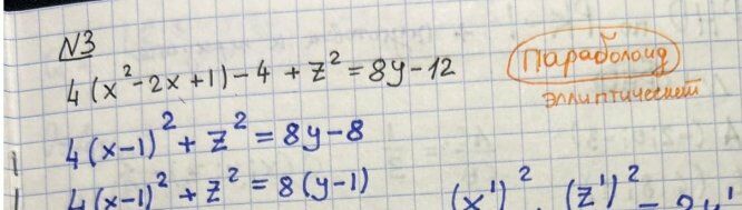
Пример решения: ![]()


Характеристики домашнего задания
Учебное заведение
Семестр
Номер задания
Вариант
Просмотров
259
Размер
2,4 Mb
Список файлов
Вариант 18 - ДЗ №2 - Кривые и поверхности второго порядка - ИУ.pdf

Друзья, спасибо за доверие! Если вам понравилась работа – поставьте 5⭐ и напишите отзыв. Это поможет другим студентам, а мне даст силы делать ещё больше качественных материалов для вас 🔥