Для студентов МГТУ им. Н.Э.Баумана по предмету Линейная алгебра и аналитическая геометрияВекторная алгебра и аналитическая геометрияВекторная алгебра и аналитическая геометрия
5,0059
2023-03-012024-09-03СтудИзба
ДЗ 1: Векторная алгебра и аналитическая геометрия вариант 17
-66%
Описание
Вариант 17 - ДЗ №1 - Векторная алгебра и аналитическая геометрия - ИУ,РЛ,БМТ,ФН12
Зачтено на максимальный балл 💥 💥 💥
Спасибо за покупку 🥰🥰🥰 ![]()
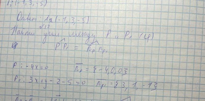
Пример решения: Задача 1


Файлы условия, демо
Характеристики домашнего задания
Учебное заведение
Семестр
Номер задания
Вариант
Просмотров
257
Размер
5,41 Mb
Список файлов
Capture.JPG
Вариант 17 - ДЗ №1 - Векторная алгебра и аналитическая геометрия - ИУ.pdf

Друзья, спасибо за доверие! Если вам понравилась работа – поставьте 5⭐ и напишите отзыв. Это поможет другим студентам, а мне даст силы делать ещё больше качественных материалов для вас 🔥