Для студентов МГТУ им. Н.Э.Баумана по предмету Интегралы и дифференциальные уравнения (ИиДУ)Дифференциальные уравнения высших порядковДифференциальные уравнения высших порядков
4,905221
2021-03-182024-09-03СтудИзба
ДЗ 2: Дифференциальные уравнения высших порядков вариант 19
-66%
Описание
Вариант 19 - ДЗ №2 - Дифференциальные уравнения- ИУ, РЛ, БМТ, ФН12
Зачтено на максимальный балл 💥 💥 💥
Спасибо за покупку 🥰🥰🥰
Интегралы и дифференциальные уравнения (2-й семестр)


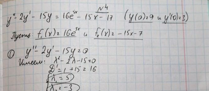
Задача 2

Задача 3


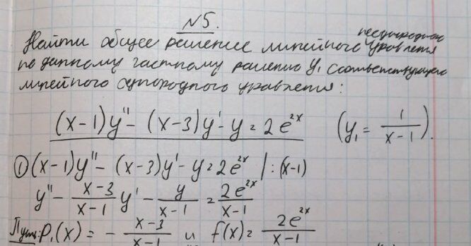
Задача 5

Характеристики домашнего задания
Учебное заведение
Семестр
Номер задания
Вариант
Просмотров
351
Размер
6,19 Mb
Список файлов
Вариант 19 - ДЗ №2 - Дифференциальные уравнения- ИУ, РЛ, БМТ, ФН12.docx

Друзья, спасибо за доверие! Если вам понравилась работа – поставьте 5⭐ и напишите отзыв. Это поможет другим студентам, а мне даст силы делать ещё больше качественных материалов для вас 🔥
Комментарии

Отзыв
Домашка на 10 тетрадных страниц. Все расписано СЛИШКОМ хорошо, очень много воды, приходится конспектировать. Почерк средний, вроде все понятно