Для студентов МГТУ им. Н.Э.Баумана по предмету Линейная алгебра и аналитическая геометрияВекторная алгебра и аналитическая геометрияВекторная алгебра и аналитическая геометрия
4,90547417
2023-02-282025-05-01СтудИзба
ДЗ 1: Векторная алгебра и аналитическая геометрия вариант 16
-66%
Описание
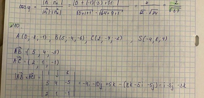
Вариант 16 - ДЗ №1 - Векторная алгебра и аналитическая геометрия (Задача 1=>10)
Зачтено на максимальный балл 💥 💥 💥
Спасибо за покупку 🥰🥰🥰
Пример решения: ![]()
Характеристики домашнего задания
Учебное заведение
Семестр
Номер задания
Вариант
Теги
Просмотров
151
Размер
8,35 Mb
Список файлов
Вариант 16 - ДЗ №1 - Векторная алгебра и аналитическая геометрия.pdf

Друзья, спасибо за доверие! Если вам понравилась работа – поставьте 5⭐ и напишите отзыв. Это поможет другим студентам, а мне даст силы делать ещё больше качественных материалов для вас 🔥