Для студентов МГТУ им. Н.Э.Баумана по предмету Кратные интегралы и рядыКратные интегралыКратные интегралы
5,0059
2022-11-042024-09-04СтудИзба
Вариант 13 - Дз-1 "Кратные интегралы"
ДЗ 1: Кратные интегралы вариант 13
-43%
Описание
Типовой расчет по математическому анализу №1, 5 задач: "Кратные интегралы", зачтено
Условие:
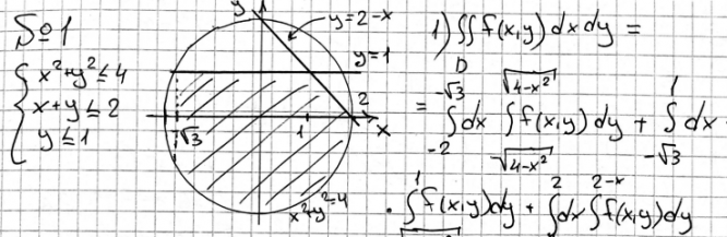
Задача 1:
Задача 2:
Задача 3:
Задача 4:
Задача 5:
Показать/скрыть дополнительное описание
Условие:






Типовой расчет по математическому анализу МГТУ 3 семестр домашнее задание кратные криволинейные поверхностные интегралы теория поля ряды.
Характеристики домашнего задания
Предмет
Учебное заведение
Семестр
Номер задания
Вариант
Просмотров
111
Качество
Скан рукописных листов
Размер
4,03 Mb
Список файлов
Вариант 13 КИ 1005.pdf

Спасибо за покупку! Я буду очень рад, если поставишь справедливую оценку купленному файлу :3 Ищи больше работ в моём профиле, там много нужного тебе!