Для студентов МГТУ им. Н.Э.Баумана по предмету Кратные интегралы и рядыКратные и криволинейные интегралыКратные и криволинейные интегралы
5,0053
2022-10-312024-10-08СтудИзба
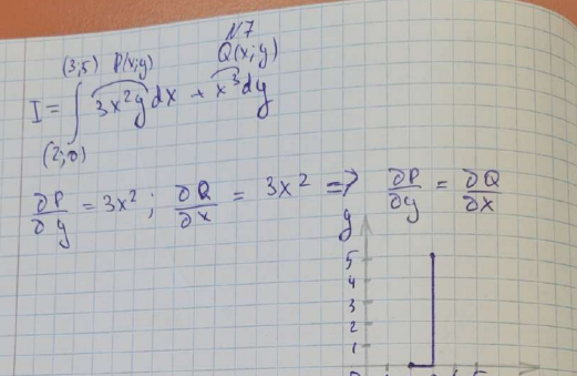
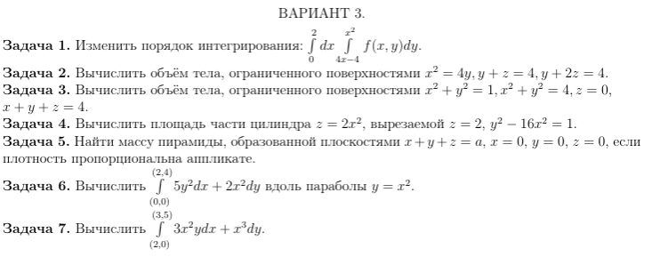
ДЗ 1: Кратные и криволинейные интегралы вариант 3
-32%
Описание
Файлы условия, демо
Характеристики домашнего задания
Предмет
Учебное заведение
Семестр
Номер задания
Вариант
Программы
Просмотров
50
Качество
Фото рукописных листов
Размер
524,54 Kb
Список файлов
кратные инты 3 вар.pdf

Котики подняли настроение тебе, а поставив 5 звёзд на купленный файл, ты поднимешь его мне. Спасибо!