Для студентов МГТУ им. Н.Э.Баумана по предмету Кратные интегралы и рядыЧисловые рядыЧисловые ряды
5,00510
2022-04-162024-09-03СтудИзба
ДЗ 3.1: Числовые ряды вариант 14
-66%
Описание
Вариант 14 - ДЗ №3.1 - Числовые ряды - СМ,ФН,РК4,ФН2
Зачтено на максимальный балл 💥 💥 💥
Спасибо за покупку 🥰🥰 🥰
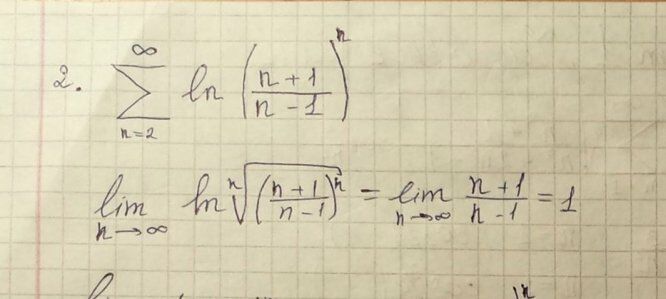
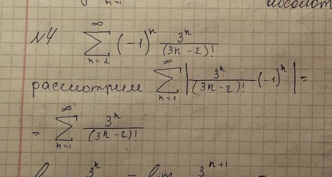
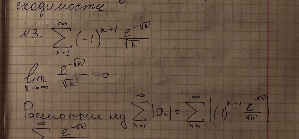
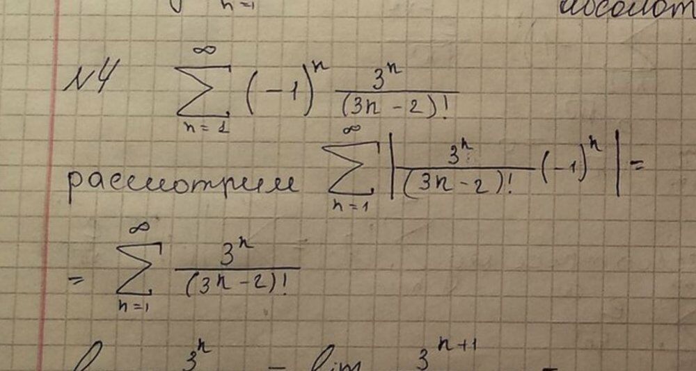
Пример решения:





Характеристики домашнего задания
Предмет
Учебное заведение
Семестр
Номер задания
Вариант
Просмотров
134
Качество
Фото рукописных листов
Размер
3,16 Mb
Список файлов
1.jpg
2.jpg
3.jpg
4.jpg

Друзья, спасибо за доверие! Если вам понравилась работа – поставьте 5⭐ и напишите отзыв. Это поможет другим студентам, а мне даст силы делать ещё больше качественных материалов для вас 🔥