Для студентов МГТУ им. Н.Э.Баумана по предмету Кратные интегралы и рядыТеория поляТеория поля
5,0057
2022-03-172024-09-03СтудИзба
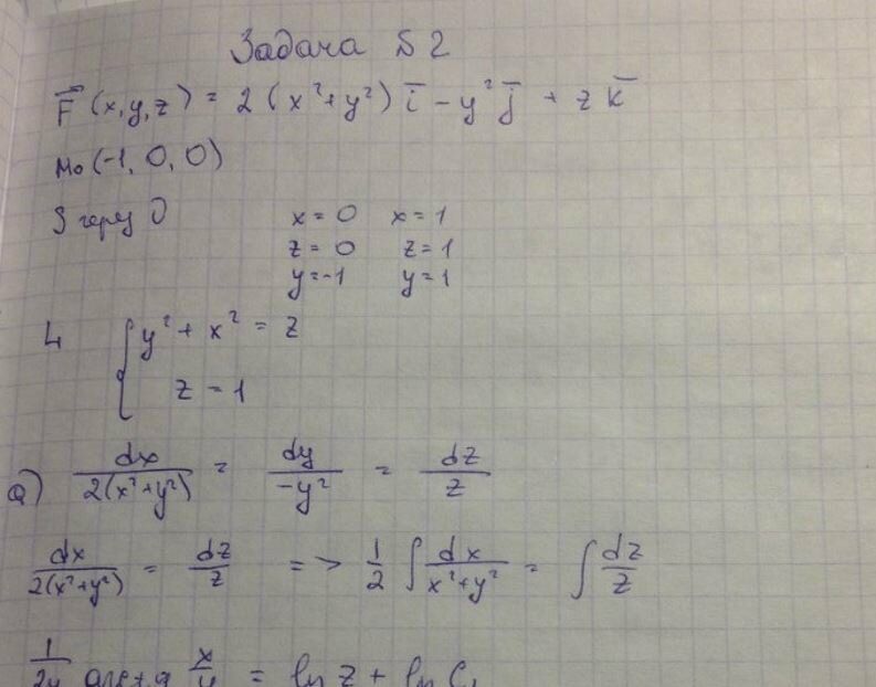
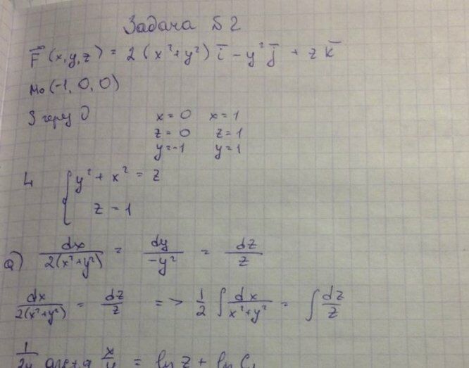
ДЗ 2: Теория поля вариант 17
-66%
Описание
Характеристики домашнего задания
Предмет
Учебное заведение
Семестр
Номер задания
Вариант
Просмотров
288
Размер
1,64 Mb
Список файлов
Вариант 17 - ДЗ №3 - Теория поля
1.jpg
2.jpg
3.jpg
4.jpg
5.jpg
F1zGy-98vTI.jpg

Друзья, спасибо за доверие! Если вам понравилась работа – поставьте 5⭐ и напишите отзыв. Это поможет другим студентам, а мне даст силы делать ещё больше качественных материалов для вас 🔥