Для студентов МГТУ им. Н.Э.Баумана по предмету Кратные интегралы и рядыЧисловые рядыЧисловые ряды
5,0052
2021-02-062021-02-06СтудИзба
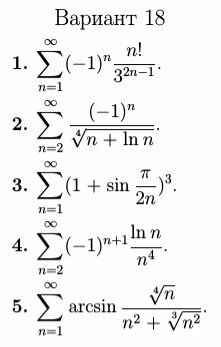
ДЗ 3.1: Числовые ряды вариант 18
Описание

Характеристики домашнего задания
Предмет
Учебное заведение
Семестр
Номер задания
Вариант
Просмотров
37
Размер
720,99 Kb
Список файлов
ДЗ №3_ Часть 1.pdf
Комментарии
Нет комментариев
Стань первым, кто что-нибудь напишет!
МГТУ им. Н.Э.Баумана

















