Для студентов МГТУ им. Н.Э.Баумана по предмету Теория функций комплексного переменного (ТФКП)Операционное исчислениеОперационное исчисление
4,90522
2020-06-022020-06-02СтудИзба
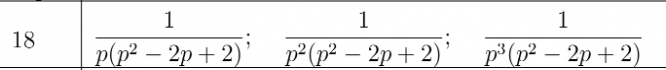
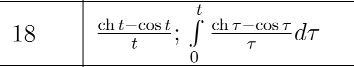
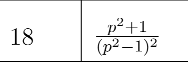
ДЗ 2: Операционное исчисление вариант 18
Описание
Характеристики домашнего задания
Учебное заведение
Семестр
Номер задания
Вариант
Теги
Просмотров
257
Размер
1,24 Mb
Список файлов
1,2 ОИ.pdf
3,4 ОИ.pdf

МГТУ им. Н.Э.Баумана
studentsostazhem


















