Для студентов МГТУ им. Н.Э.Баумана по предмету Кратные интегралы и рядыФункциональные рядыФункциональные ряды
5,0055
2021-02-062021-02-06СтудИзба
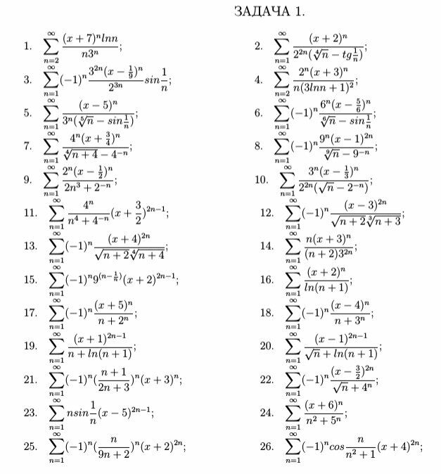
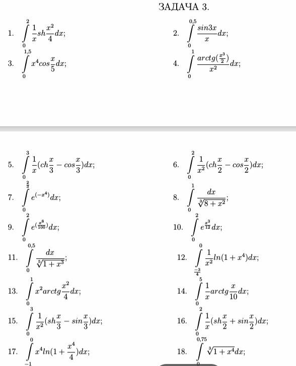
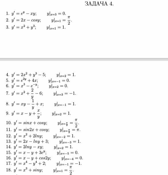
ДЗ 3.2: Функциональные ряды вариант 18
Описание
Характеристики домашнего задания
Предмет
Учебное заведение
Семестр
Номер задания
Вариант
Просмотров
52
Размер
642,63 Kb
Список файлов
Дз №3 Часть 2.pdf

МГТУ им. Н.Э.Баумана


















