Для студентов МГТУ им. Н.Э.Баумана по предмету Интегралы и дифференциальные уравнения (ИиДУ)Дифференциальные уравненияДифференциальные уравнения
4,90547044
2023-05-142024-09-03СтудИзба
ДЗ 2: Дифференциальные уравнения вариант 8
-66%
Описание
Вариант 8 - ДЗ №2 - Дифференциальные уравнения - СМ,ФН,РК4,ФН2,2023г
Зачтено на максимальный балл 💥 💥 💥
Спасибо за покупку 🥰🥰🥰
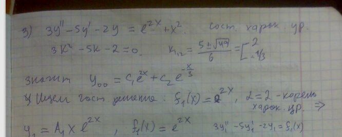
Задача 1

Задача 2




Характеристики домашнего задания
Учебное заведение
Семестр
Номер задания
Вариант
Просмотров
175
Размер
823,89 Kb
Список файлов
Вариант 8 - ДЗ №2 - Дифференциальные уравнения - СМ,ФН,РК4,ФН2,.pdf

Друзья, спасибо за доверие! Если вам понравилась работа – поставьте 5⭐ и напишите отзыв. Это поможет другим студентам, а мне даст силы делать ещё больше качественных материалов для вас 🔥