Для студентов МГТУ им. Н.Э.Баумана по предмету Интегралы и дифференциальные уравнения (ИиДУ)Дифференциальные уравнения высших порядковДифференциальные уравнения высших порядков
5,0057
2023-05-082024-09-03СтудИзба
ДЗ 2: Дифференциальные уравнения высших порядков вариант 10
-66%
Описание
Вариант 10 - ДЗ №2 - Дифференциальные уравнения- ИУ, РЛ, БМТ, ФН12
Зачтено на максимальный балл
Интегралы и дифференциальные уравнения (2-й семестр)
Задача 1
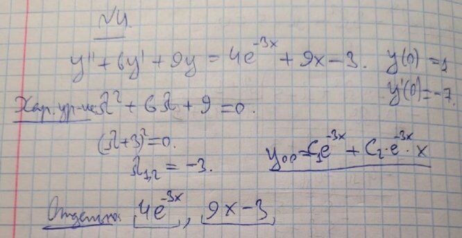
Задача 2 ![]()
Задача 3 ![]()
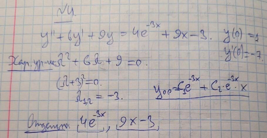
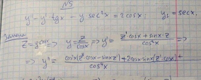
Задача 4 ![]()
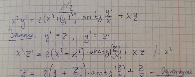
Задача 5 ![]()
Характеристики домашнего задания
Учебное заведение
Семестр
Номер задания
Вариант
Просмотров
231
Размер
3,01 Mb
Список файлов
Вариант 10 - ДЗ №2 - Дифференциальные уравнения- ИУ, РЛ, БМТ, ФН12++.pdf

Друзья, спасибо за доверие! Если вам понравилась работа – поставьте 5⭐ и напишите отзыв. Это поможет другим студентам, а мне даст силы делать ещё больше качественных материалов для вас 🔥