Дифференциальные уравнения вариант 1
Описание


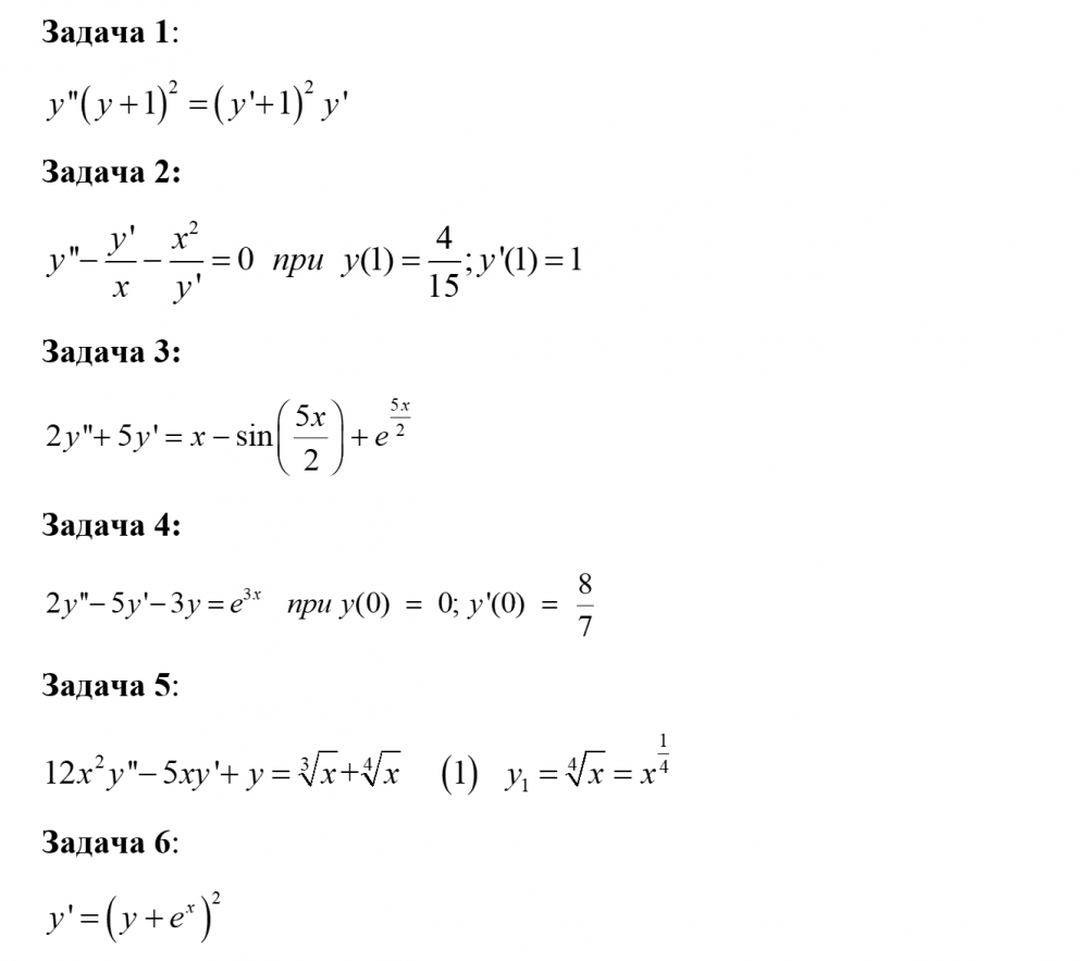
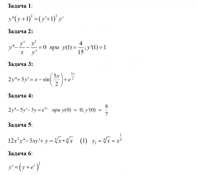
Вариант 1
Задачи 1, 3: Найти общее решение дифференциального уравнение.
Задачи 2, 4: Найти частное решение диффенциального уравнения, удовлетворяющее заданным начальным условиям. P/S(Решение до частного решения с C1, C2)
Задача 5: Найти общее решение линейно неоднородного дифференциального уравнения второго поряда, если известно одно частное решение y1(x) соответствующего однородного уравнения.
Задача 6: Методом изоклин найти приближенное решение дифференциального уранения первого порядка.
Показать/скрыть дополнительное описание
Вариант 1 Задачи 1, 3: Найти общее решение дифференциального уравнение. Задачи 2, 4: Найти частное решение диффенциального уравнения, удовлетворяющее заданным начальным условиям. P/S ( Решение до частного решения с C1, C2 ) Задача 5: Найти общее решение линейно неоднородного дифференциального уравнения второго поряда, если известно одно частное решение y1( x ) соответствующего однородного уравнения. Задача 6: Методом изоклин найти приближенное решение дифференциального уранения первого порядка. .
Файлы условия, демо
Характеристики домашнего задания
Список файлов
