Для студентов МГТУ им. Н.Э.Баумана по предмету Интегралы и дифференциальные уравнения (ИиДУ)Дифференциальные уравнения высших порядковДифференциальные уравнения высших порядков
5,0052
2022-05-152025-02-11СтудИзба
ДЗ 2: Дифференциальные уравнения высших порядков вариант 19
-43%
Описание
Типовой расчет №2 по математическому анализу, "Дифференциальные уравнения", зачтено
Условие:
Задача 1:
Задача 2:
Задача 3:
Задача 4:
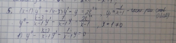
Задача 5:
![]()
Условие:

Задача 1:





Характеристики домашнего задания
Учебное заведение
Семестр
Номер задания
Вариант
Просмотров
37
Качество
Фото рукописных листов
Размер
1,25 Mb
Список файлов
Вариант 19 Диффуры 8.pdf

Спасибо за покупку! Я буду очень рад, если поставишь справедливую оценку купленному файлу :3 Ищи больше работ в моём профиле, там много нужного тебе!