Для студентов МГТУ им. Н.Э.Баумана по предмету Интегралы и дифференциальные уравнения (ИиДУ)Дифференциальные уравненияДифференциальные уравнения
5,00524
2021-03-262024-09-03СтудИзба
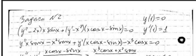
ДЗ 2: Дифференциальные уравнения вариант 11
-66%
Описание
Интегралы и дифференциальные уравнения (2-й семестр)
Защищено на 10 из 10 возможных баллов.
Зачтено на максимальный балл





Характеристики домашнего задания
Учебное заведение
Семестр
Номер задания
Вариант
Просмотров
714
Качество
Скан рукописных листов
Размер
3,83 Mb
Список файлов
ДЗ №2 (вариант 11) (проверено 2020г).pdf

Друзья, спасибо за доверие! Если вам понравилась работа – поставьте 5⭐ и напишите отзыв. Это поможет другим студентам, а мне даст силы делать ещё больше качественных материалов для вас 🔥