Вопросы/задания к тесту/контрольной: Минимизация логических функций
Новинка
Описание
Цель работы: ознакомиться с основными методами минимизации функций алгебры логики.
Задание для отчёта по лабораторной работе.
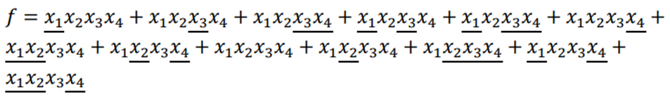
Заполните таблицу истинности функции алгебры логики из пункта 5, согласно вашему варианту.
Используя карту Карно, приведённую в табл. 2.10, минимизируйте функцию алгебры логики, согласно вашему варианту.
Вариант №5.

Характеристики вопросов/заданий к КР
Предмет
Учебное заведение
Просмотров
0
Размер
157,06 Kb
Список файлов
ИКБО.docx
Комментарии
Нет комментариев
Стань первым, кто что-нибудь напишет!
РТУ МИРЭА
all_at_700















