Для студентов АмГУ по предмету ИнформатикаАдаптивные системы управления объектами с запаздыванием по состоянию и запаздыванием нейтрального типаАдаптивные системы управления объектами с запаздыванием по состоянию и запаздыванием нейтрального типа
4,955287
2025-03-212025-03-21СтудИзба
Лабораторная работа: Адаптивные системы управления объектами с запаздыванием по состоянию и запаздыванием нейтрального типа
Описание
Цель лабораторной работы:
Изучение возможности использования адаптивного подхода к управлению объектами с нейтральным запаздыванием и запаздыванием по состоянию.
Ход работы:
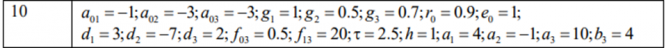
1. Соберите Simulink-модель системы управления, задав числовые значения матриц и векторов в соответствии с вариантом задания. Коэффициентом матрицы Г задайте равным нулю:
Характеристики лабораторной работы
Предмет
Учебное заведение
Просмотров
3
Размер
328,7 Kb
Список файлов
Лаб5 - Отчёт пример.docx
Комментарии
Нет комментариев
Стань первым, кто что-нибудь напишет!
АмГУ
all_at_700

















