Для студентов МГТУ им. Н.Э.Баумана по предмету ФизикаЭлектромагнитные волныЭлектромагнитные волны
5,0051
2021-04-162025-10-03СтудИзба
Задача 4: Электромагнитные волны вариант 4
-62%
Описание
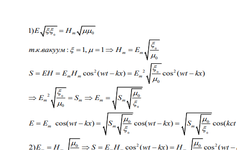
![]()
Зачтено на максимальный балл



Характеристики решённой задачи
Предмет
Учебное заведение
Семестр
Номер задания
Вариант
Программы
Просмотров
180
Размер
529,39 Kb
Список файлов
Домашнее задание вариант №3 - (Задача 4).pdf

Друзья, спасибо за доверие! Если вам понравилась работа – поставьте 5⭐ и напишите отзыв. Это поможет другим студентам, а мне даст силы делать ещё больше качественных материалов для вас 🔥