Для студентов МГТУ им. Н.Э.Баумана по предмету ФизикаЭлектромагнитная индукция + Электромагнитные волныЭлектромагнитная индукция + Электромагнитные волны
5,0052
2021-04-102024-09-04СтудИзба
Вариант 3 - Дз-2 "Электромагнитная индукция" + "Электромагнитные волны"
ДЗ 2: Электромагнитная индукция + Электромагнитные волны вариант 3
-25%
Описание
Типовой расчет по физике №2, 2 задачи: "Электромагнитная индукция" и "Электромагнитные волны", зачтено
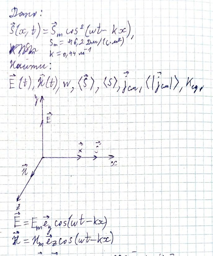
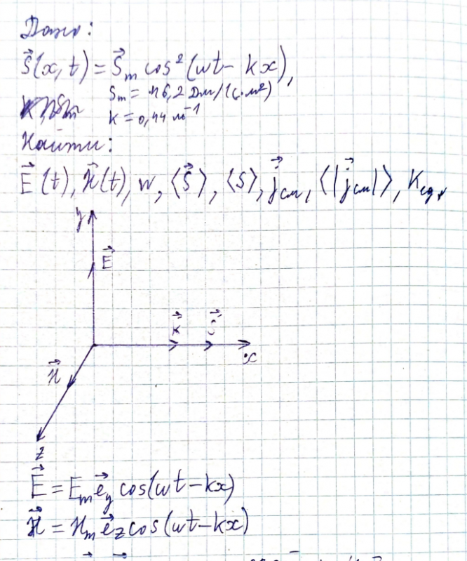
Задача 1:
Задача 2:
Показать/скрыть дополнительное описание
Задача 1:


Задача 2:


Показать/скрыть дополнительное описание
Типовой расчет по физике МГТУ 3 семестр домашнее задание магнитостатика электростатика индукция волны.
Характеристики домашнего задания
Предмет
Учебное заведение
Семестр
Номер задания
Вариант
Просмотров
47
Качество
Файлы различного качества
Размер
2,24 Mb
Список файлов
Вариант 3 Индукция 798.pdf
Вариант 3 Волны 643.pdf

Спасибо за покупку! Я буду очень рад, если поставишь справедливую оценку купленному файлу :3 Ищи больше работ в моём профиле, там много нужного тебе!