Для студентов МГТУ им. Н.Э.Баумана по предмету БиохимияЛабораторная работа №3 (вариант №15)Лабораторная работа №3 (вариант №15)
5,0055
2021-04-122021-04-12СтудИзба
Лабораторная работа 3: Лабораторная работа №3 (вариант №15) вариант 15
Бестселлер
Описание
Пути катаболические и анаболические. Липиды и мембраны. Биокинетика
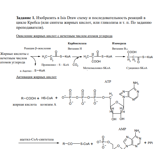
Задание 1. Изобразить в Isis Draw схему и последовательность реакций в цикле Кребса (или синтеза жирных кислот, или гликолиза и т. п. По заданию преподавателя)
Задание 2. Изобразить в Isis Draw схему образования липидной мембраны, структуру мембраны.
Задание 3. Решить по заданию преподавателя кинетическую задачу. Представить графическое решение: кинетическую кривую, анаморфозу кинетической кривой, определить параметры процесса (порядок реакции, константу скорости, период полупревращения).
![]()
Задание 1. Изобразить в Isis Draw схему и последовательность реакций в цикле Кребса (или синтеза жирных кислот, или гликолиза и т. п. По заданию преподавателя)
Задание 2. Изобразить в Isis Draw схему образования липидной мембраны, структуру мембраны.
Задание 3. Решить по заданию преподавателя кинетическую задачу. Представить графическое решение: кинетическую кривую, анаморфозу кинетической кривой, определить параметры процесса (порядок реакции, константу скорости, период полупревращения).

Характеристики лабораторной работы
Предмет
Учебное заведение
Семестр
Номер задания
Вариант
Просмотров
82
Размер
862,68 Kb
Список файлов
Лабораторная работа №3 (вариант №15).pdf

Друзья, спасибо за доверие! Если вам понравилась работа – поставьте 5⭐ и напишите отзыв. Это поможет другим студентам, а мне даст силы делать ещё больше качественных материалов для вас 🔥