Колчин-ТР-2003офис (991028)
Текст из файла
Московский Энергетический Институт
(Технический Университет)
Типовой расчет.
Расчет зависимости удельного сопротивления от содержания компонентов в композиционном полупроводнике.
Выполнил ст. гр. ЭЛ-15-04
Гончаров Е.О.
Проверил: преподаватель
Колчин В.В.
г. Москва, 2008г.
-
Задание.
Рассчитать зависимость удельного сопротивления от содержания компонентов в композиционном полупроводнике.
2. Исходные данные.
Композиционный полупроводник состоит из:
-проводящей фазы Со, Mn D=1мкм
-разбавитель Al2O3 D=5мкм
3.Расчет.
Сложные проводники представляют собой гетерогенную многофазную структуру, композицию, состоящую из компонентов с различными физическими свойствами. Проводимость и другие свойства компонентов зависят от соотношения и вида компонентов.
Главную функцию выполняют проводящие компоненты.
Разбавитель уменьшает проводящее сечение композиции.
Зависимость разбиваем на три участка.
Ом*см
Па
Па.
см
см
Ом*см
Ом*см
В полулогарифмическом масштабе:
На 3м участке полагаем систему островковой (объем проводящей фазы менее 0,05.)
при m=5:
В полулогарифмическом масштабе:
при m=15:
В полулогарифмическом масштабе:
Усредненная кривая для 3го участка в полулогарифмическом масштабе:
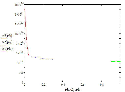
Итоговый общий график:
Вывод: при П<0,05 система "островная" с уменьшением относительного объёма проводящей фазы между зернами образуются зазоры, которые заполняются связывающей непроводящей средой. Хотя при малой толщине прослоек неравномерность проводящей фазы ещё сохраняется возможность туннельного механизма проводимости, величина зазора растёт настолько быстро с уменьшением П, что сопротивление резко возрастает.
На участке 0,05<П<1 система цепная, также наблюдается рост удельного сопротивления, но не такой резкий как при П<0,05.
Характеристики
Тип файла документ
Документы такого типа открываются такими программами, как Microsoft Office Word на компьютерах Windows, Apple Pages на компьютерах Mac, Open Office - бесплатная альтернатива на различных платформах, в том числе Linux. Наиболее простым и современным решением будут Google документы, так как открываются онлайн без скачивания прямо в браузере на любой платформе. Существуют российские качественные аналоги, например от Яндекса.
Будьте внимательны на мобильных устройствах, так как там используются упрощённый функционал даже в официальном приложении от Microsoft, поэтому для просмотра скачивайте PDF-версию. А если нужно редактировать файл, то используйте оригинальный файл.
Файлы такого типа обычно разбиты на страницы, а текст может быть форматированным (жирный, курсив, выбор шрифта, таблицы и т.п.), а также в него можно добавлять изображения. Формат идеально подходит для рефератов, докладов и РПЗ курсовых проектов, которые необходимо распечатать. Кстати перед печатью также сохраняйте файл в PDF, так как принтер может начудить со шрифтами.















