Отчёт по лабе (987857)
Текст из файла
Московский Энергетический Институт
Лабораторная Работа №7
по физике диэлектрических материалов
на тему: «Исследование температурной зависимости проводимости твёрдых диэлектриков»
Выполнил: Михайлец М.С.
Группа: Эл 15 – 03
Проверил: Бородулин В.Н.
Москва 2006 г.
Цель работы: получение и исследование температурных зависимостей удельной объёмной электрической проводимости ионных кристаллов и стёкол.
Схема установки:
Образцы исследуемых материалов с нанесёнными методом вжигания серебряными электродами помещаются на траверсу. Траверса прикреплена к крышке тигельной печи тягами. Тоководы, изолированные от крышки кварцевыми втулками, могут попеременно соединяться с измерителем сопротивлений. Траверса, тяги и токопроводящие контакты выполнены из нержавеющей стали.
Температура в непосредственной близости от образцов измеряется при помощи массивной хромель – алюмелевой термопары, включённой на милливольтметр, проградуированный в ºС.
Измерение скорости нагрева печи, осуществляется с помощью автотрансформатора АТ, тог нагревателей контролируется амперметром А.
Рабочее задание:
-
Изучите экспериментальные установки.
-
Определите температурную зависимость удельной электрической проводимости поликристаллического образца хлористого натрия NaCl и образца стекла в интервале 50 – 700 ºС.
-
Полученные результаты представьте виде таблиц и графиков.
-
По полученным данным рассчитайте значения энергии активации, концентрацию и подвижность носителей заряда, характерные для «низкотемпературной» т «высокотемпературной» областей.
-
Сформулируйте письменные выводы по результатам работы.
Таблица измерения температурных зависимостей проводимости:
Материал: NaCl
| № | Тем-ра t, ºС. | Тем-ра Т, К | 1000/T, 1/K | Уд. Сопр-ние R, Ом*м | Уд. Пров-сть g, См*м | ln(R) | ln(g) | Ln(g*T) |
| 1 | 20 | 293 | 3.413 | 3.0E+11 | 3.333E-12 | 26.427 | -26.427 | -20.747 |
| 2 | 80 | 353 | 2.833 | 2.6E+11 | 3.846 E-12 | 26.284 | -26.284 | -20.417 |
| 3 | 150 | 423 | 2.364 | 2.5E+10 | 4.012 E-11 | 23.942 | -23.942 | -17.895 |
| 4 | 200 | 473 | 2.114 | 1.2E+09 | 8.333 E-10 | 20.906 | -20.906 | -14.746 |
| 5 | 250 | 523 | 1.912 | 1.4E+08 | 7.143 E-09 | 18.757 | -18.757 | -12.498 |
| 6 | 300 | 573 | 1.745 | 1.8E+07 | 5.556 E-08 | 16.706 | -16.706 | -10.355 |
| 7 | 350 | 623 | 1.605 | 3.2E+06 | 3.125 E-07 | 14.979 | -14.979 | -8.544 |
| 8 | 400 | 673 | 1.486 | 4.5E+05 | 2.222 E-06 | 13.017 | -13.017 | -6.505 |
| 9 | 450 | 723 | 1.383 | 5.5E+05 | 1.818 E-06 | 13.218 | -13.218 | -6.634 |
| 10 | 500 | 773 | 1.294 | 2.0E+05 | 5.003 E-06 | 12.206 | -12.206 | -5.556 |
| 11 | 550 | 823 | 1.215 | 9.0E+04 | 1.111 E-05 | 11.408 | -11.408 | -4.695 |
| 12 | 600 | 873 | 1.145 | 4.2E+04 | 2.381 E-05 | 10.645 | -10.645 | -3.873 |
Графики температурных зависимостей проводимости:
- полином, полученный по МНК.
- полином, полученный по МНК, для аппроксимации зависимости ln(g) = f(1000/T).
- полином, полученный по МНК, для аппроксимации зависимости ln(g*T) = f(1000/T)
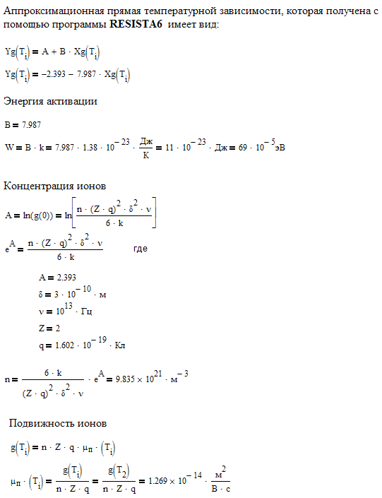
Теоретический расчёт энергии активации, концентрации и подвижности:
Характеристики
Тип файла документ
Документы такого типа открываются такими программами, как Microsoft Office Word на компьютерах Windows, Apple Pages на компьютерах Mac, Open Office - бесплатная альтернатива на различных платформах, в том числе Linux. Наиболее простым и современным решением будут Google документы, так как открываются онлайн без скачивания прямо в браузере на любой платформе. Существуют российские качественные аналоги, например от Яндекса.
Будьте внимательны на мобильных устройствах, так как там используются упрощённый функционал даже в официальном приложении от Microsoft, поэтому для просмотра скачивайте PDF-версию. А если нужно редактировать файл, то используйте оригинальный файл.
Файлы такого типа обычно разбиты на страницы, а текст может быть форматированным (жирный, курсив, выбор шрифта, таблицы и т.п.), а также в него можно добавлять изображения. Формат идеально подходит для рефератов, докладов и РПЗ курсовых проектов, которые необходимо распечатать. Кстати перед печатью также сохраняйте файл в PDF, так как принтер может начудить со шрифтами.
















