8 (971681)
Текст из файла
\ Определение 6.2. Квадратичную форму
a1x\ + ... + otnx2n, ai Е R, i =1, n, (6.5)
не имеющую попарных произведений переменных, называют квадратичной формой канонического вида. Переменные x1, ... , xn, в которых квадратичная форма имеет канонический вид, называют каноническими переменными.
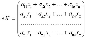
С учетом правила умножения матриц можно вывести матричную форму записи квадратичной формы.
где
– матрица квадратичной формы,
– матрица–столбец неизвестных:
Характеристики
Тип файла документ
Документы такого типа открываются такими программами, как Microsoft Office Word на компьютерах Windows, Apple Pages на компьютерах Mac, Open Office - бесплатная альтернатива на различных платформах, в том числе Linux. Наиболее простым и современным решением будут Google документы, так как открываются онлайн без скачивания прямо в браузере на любой платформе. Существуют российские качественные аналоги, например от Яндекса.
Будьте внимательны на мобильных устройствах, так как там используются упрощённый функционал даже в официальном приложении от Microsoft, поэтому для просмотра скачивайте PDF-версию. А если нужно редактировать файл, то используйте оригинальный файл.
Файлы такого типа обычно разбиты на страницы, а текст может быть форматированным (жирный, курсив, выбор шрифта, таблицы и т.п.), а также в него можно добавлять изображения. Формат идеально подходит для рефератов, докладов и РПЗ курсовых проектов, которые необходимо распечатать. Кстати перед печатью также сохраняйте файл в PDF, так как принтер может начудить со шрифтами.















