лекция 4 (959234), страница 2
Текст из файла (страница 2)
Таким образом, весь процесс определения законов движения складывается из трех этапов: записи меры принуждения, ее минимизации для определения значений ускорений и интегрирования для нахождения скорости и положения механизма в пространстве.
Для записи меры принуждения для исполнительного механизма отметим, что матрица Wi (10) определяет инерционные характеристики «i»-го звена, т.к. она связывает векторы ускорений движения и действующих сил и моментов. Таким образом, Wi является аналогом mi в выражении для J.
Обозначим через
вектор ускорений:
координаты которого, в соответствии с (11), описывают движение свободного звена (без учета сил и моментов реакций). Ускорение
является аналогом величины
в выражении для J.
Кроме инерционных характеристик звеньев будем учитывать инерции движущихся частей приводов, обеспечивающих относительное перемещение звеньев. Для этого представим механическую часть каждого привода кинематической парой пятого класса, образуемой твердыми телами, одно из которых является статором, а другое ротором. Такое представление соответствует достаточно широкому классу роботов, у которых системы приводов расположены в шарнирах соответствующих звеньев. Относительное положение двух соседних звеньев определяется одним параметром qi.
Учитывая вышесказанное, мера принуждения для всего механизма может быть представлена в виде:
di – инерция ротора
Будем рассматривать те значения ускорений
, которые возможны при заданной конфигурации и скорости, причем возможные в системе ускорения должны удовлетворять уравнениям связи (6).
Принцип наименьшего принуждения для представленной системы можно сформулировать следующим образом: В классе возможных ускорений истинные ускорения обеспечивают единственный минимум выражению (12).
Таким образом, определение ускорений сводится к простой алгебраической задаче о минимуме квадратичной формы (12)
При ограничениях (6). При решении этой задачи можно написать достаточно громоздкие выражения, а можно использовать и другие методы, не требующие выполнения этой трудоемкой операции, например, метод динамического программирования.
В соответствии с этим методом задача определения значения
сводится к многошаговому рекуррентному процессу.
Напомним, если, например, рассматривается задача определения управлений ui (i=1,2…n), переводящих систему из состояния «i-1» в состояние «i», из условия
То ее решение может быть выполнено следующим образом:
Поскольку функция
квадратичная, а уравнения связи линейные, то минимизируемая частичная сумма
будет в общем случае квадратичной относительно
. Поэтому решение основного уравнения динамического программирования можно представить в виде квадратичной формы.
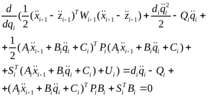
Подставляя это значение в уравнение ( ), дифференцируя полученное выражение по
и приравнивая полученные производные нулю, получим:
Подставим это значение в выражение ( ).
Приравняем коэффициенты – матрицы при одинаковых степенях
, получим
i = 1, 2,…, n
Граничные условия определяются следующим образом:
Эти выражения определяют динамическую модель манипулятора. По известным внешним вилам и моментам определяется ускорение обобщенных координат.
Алгоритм:
















