1) - копия (933814)
Текст из файла
| Федеральное агентство по образованию Государственное образовательное учреждение высшего профессионального образования «Московский государственный технический университет имени Н.Э.Баумана» (МГТУ им. Н.Э.Баумана) Факультет «Радиоэлектроника и лазерная техника» (РЛ) Кафедра «Элементы приборных устройств» (РЛ5) РАСЧЕТНО-ПОЯСНИТЕЛЬНАЯ ЗАПИСКА к курсовому проекту по курсу «Основы конструирования приборов» на тему: «ЭМП с быстрым реверсом выходного вала» Студент _______________ (Сухов П.Е.) Группа ИУ4-62 Руководитель проекта _______________ (Нарыкова Н.И.) 2010 г. |
Содержание
Техническое задание………………………………………………………………….………. 3
Описание разрабатываемой конструкции……………………………………… 4
Предварительный выбор двигателя привода разрабатываемой конструкции… 5
Кинематический расчёт проектируемой конструкции……………………………….. 6
Определение общего передаточного отношения……………………………………………..….. 6
Определение числа ступеней…………………………………………………..…………..….…... 6
Силовой расчёт ЭМП………………………………………………………………..………… 7
Проверочный расчёт выбранного двигателя …………………………………..……………….... 7
Расчёт зубчатых колёс на изгибную прочность…………………………………………………. 8
Геометрический расчёт кинематики проектируемой конструкции….……………10
Уточненный расчёт двигателя…………………………………………………..…… ……..12
Расчёт зубчатых колёс на контактную прочность……………………………………………….13
Расчёт валов редуктора……………………………………………………………….………15
Проектный расчёт валов…………………………………………………………………………..15
Расчёт вала на прочность………………………………………………………….………………15
Расчёт вала на жесткость………………………………………………………………………….17
Расчёт опор редуктора……………………………………………………………………….18
Расчёт цапфы вала на изгиб………………………………………………….……………………18
Расчёт опор скольжения на теплостойкость..................................................................................19
Расчёт опор скольжения на контактную прочность……………………….…………………….19
Точностной расчёт разрабатываемой кинематики…………………………………....20
Расчет предохранительной муфты……..………………………………….………………26
Список литературы…………..……..………………………………….………………….…30
Введение
Темой данной курсовой работы является разработка конструкции исполнительного привода с использованием закрытого пылезащитного корпуса и предохранительной муфты на предпоследним валу. Разрабатываемый привод должен удовлетворять следующим техническим параметрам: (вариант1.4)
| Момент на выходном валу Мс ,Нмм | 550 |
| Скорость вращения выходного вала ω, с-1 | 3.5 |
| Момент инерции нагрузки J, кг*м2 | 0.4 |
| Ускорение вращения выходного вала ε, с-2 | 6 |
| Погрешность редуктора Δφ0, угл. мин. | 20 |
| Критерий проектирования | Мин.массы |
| Тип корпуса | Литой |
| Тип предохранительной муфты | Шариковая |
| Тип двигателя | ДПР или ДПР-Р11-Д00 |
| Условия эксплуатации | УХЛ4.1 |
| Степень защиты | IP44 |
| Срок службы | Ограниченный срок службы двигателя |
| Характер производства | Серийный |
| Вид крепления к основному изделию | |
| Вывод выходного элемента(вала,колеса,шкива и др.) | Со стороны двигателя |
| Вид выходного конца вала(элемента) | Со шпонкой и резьбой |
Исполнительные приводы применяются в радионавигации, связи, радиоастрономии, в комплексах управления летательными аппаратами, в аппаратах аэрофотосъемки, для приведения в движение рабочих органов различных приборных устройств.
Описание и обоснование выбранной конструкции
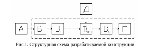
Согласно анализу условий технического задания разрабатываемая конструкция представляется в виде структурной схемы, представленной на рисунке 1.
Конструкция исполнительного привода состоит из следующих элементов:
двигатель (А);
выходной вал двигателя (Б);
редуктор (В1, ..., Вn-1, Вn);
предохранительная муфта на валу (Д);
выходной вал редуктора/вал нагрузки (Г).
Вращающий момент от двигателя (А) поступает вал двигателя (Б). Вал двигателя передает момент на ступени редуктора В1, В2, ..., Вn-1, Вn. С последней ступени движение передается на выходной вал редуктора Г. Согласно условиям ТЗ в конструкции исполнительного привода на предпоследней ступени редуктора присутствует предохранительная шариковая муфта, рассчитанная на передачу момента, не более, чем Mmax.
Исполнительные маломощные приводы применяются в комплексах управления летательными аппаратами, для приведения в движение рабочих органов приборных устройств, в механизмах медицинской техники и др. Исполнительный привод чаще всего состоит(рис а.)
Рис.а.
из электродвигателя 1 и редуктора Z1-Zn (Z8 в примере). Для предохранения двигателя и редуктора от перегрузок и разрушения в редукторе устанавливается предохранительная муфта М.
Предварительный выбор двигателя привода разрабатываемой конструкции
Предварительный выбор двигателя определяем из соотношения ([1] стр.6):
(1), где
N – расчетная мощность двигателя [Вт];
Mн – момент нагрузки привода, согласно ТЗ Mн=0.55 Н·м;
ωвых – угловая скорость на выходном валу привода, согласно условиям ТЗ ωвых=3.5 рад/с
ηр – КПД редуктора. По рекомендации [1] выбираем, ηр = 85%;
ξ – коэффициент запаса двигателя, выбирается согласно указанному в ТЗ режиму работы и рекомендациям [1], ξ=1.05...1.1.
Подставляя значения в формулу (1) получаем расчетное значение мощности двигателя:
Вт
Согласно рекомендациям ТЗ выбираем двигатель из серии ДПР. Учитывая мощность, срок службы, разброс температур, характер работы, из табл.П1.18 [1] выбираем двигатель ДПР-52-Н1-03 с техническими характеристиками:
U = 27 В,
P = 4.6 Вт,
nном = 4500 об/мин
Мном = 9.8·10-3 Н·м,
Мпуск = 54·10-3 Н·м,
Jр = 1.7·10-6 кг·м2,
Т = 2500 часов,
M = 0.25 кг
Кинематический расчет проектируемой конструкции
Определение общего передаточного отношения
По известным значениям скоростей на входе nном и nвых определяем общее передаточное отношение редуктора по формуле:
(2)
Подставляя полученное в предыдущем пункте значения nном и nвых=30ωвых/π=33.44 об/мин получаем:
Определение числа ступеней
Так как в ТЗ в качестве дополнительных требований к конструкции исполнительного привода указано, что привод должен иметь малую массу, то в качестве критерия для расчета числа ступеней редуктора выбираем критерий минимизации приведенного момента инерции и габаритов [1], а минимизацию массы привода будем реализовывать с помощью выбора современных легких материалов.
(3), где
k - расчетное число ступеней ЭМП;
i0 - общее передаточное отношение, i0=134.6.
Подставляя значения в (3) получаем:
k=1.85*lg134.6=3.94
Округляя до большего целого, получаем, что количество ступеней редуктора k=4.
Определение числа ступеней
Для распределения общего передаточного отношения по ступеням воспользуемся программой, разработанной на кафедре РЛ5. Результат работы программы представлен в таблице 1:
Таблица 1
| Номер ступени | Передаточное отношение | Назначенные числа зубьев | |
| Шестерня | Колесо | ||
| 1 | 3.4 | 20 | 68 |
| 2 | 3.4 | 20 | 68 |
| 3 | 3.4 | 20 | 68 |
| 4 | 3.4 | 20 | 68 |
Поскольку при выполнении расчета происходит коррекция числа зубьев до стандартной величины, то фактическое передаточное отношение будет отличаться от i0.
Определим абсолютную погрешность передаточного отношения:
абс=iфакт-i0
где iфакт – фактическое передаточное отношение, которое может быть рассчитано как произведение передаточных отношений всех ступеней редуктора,
iфакт= i1 i2 i3 i4=3.43.43.43.4=133.6
Погрешность:
Силовой расчет
Предварительный проверочный расчет выбранного двигателя по заданной нагрузке
Из анализа исходных данных технического задания следует, что расчет заданной нагрузки составляет:
МΣ= Мн + Jнeн=0.55+0.4*6=2.95 (Н*м)
Где
Мн- динамический момент
Jн- момент инерции нагрузки
н- угловое ускорение
Для определения приведенного момента нагрузки к входному валу редуктора воспользуемся формулой приведения моментов ([1] стр.27):
(4), где
Mi, Mi – момент нагрузки на i-ом и j-ом валах;
iij – передаточное отношение i-го и j-го вала;
ηij – КПД передачи, для проверочного расчета согласно [1] выбираем значение ηij=0.98;
ηподш – КПД подшипников, в которых установлен ведущий вал, для проверочного расчета согласно [1] выбираем значение ηподш=0.99.
Для определения приведенного момента нагрузки к входному валу редуктора воспользуемся формулой приведения моментов ([1] стр.27):
(4), где
Mi, Mi – момент нагрузки на i-ом и j-ом валах;
iij – передаточное отношение i-го и j-го вала;
ηij – КПД передачи, для проверочного расчета согласно [1] выбираем значение ηij=0.98;
ηподш – КПД подшипников, в которых установлен ведущий вал, для проверочного расчета согласно [1] выбираем значение ηподш=0.99.
Для того чтобы проверить правильность выбора двигателя, необходимо привести момент на выходном валу к валу двигателя по формуле (4) для каждого вала, начиная от выходного, и сравнить пусковой момент двигателя с приведённым моментом.
Ведем расчёт последовательно к валу двигателя:
(Н*м)
(Н*м)
Характеристики
Тип файла документ
Документы такого типа открываются такими программами, как Microsoft Office Word на компьютерах Windows, Apple Pages на компьютерах Mac, Open Office - бесплатная альтернатива на различных платформах, в том числе Linux. Наиболее простым и современным решением будут Google документы, так как открываются онлайн без скачивания прямо в браузере на любой платформе. Существуют российские качественные аналоги, например от Яндекса.
Будьте внимательны на мобильных устройствах, так как там используются упрощённый функционал даже в официальном приложении от Microsoft, поэтому для просмотра скачивайте PDF-версию. А если нужно редактировать файл, то используйте оригинальный файл.
Файлы такого типа обычно разбиты на страницы, а текст может быть форматированным (жирный, курсив, выбор шрифта, таблицы и т.п.), а также в него можно добавлять изображения. Формат идеально подходит для рефератов, докладов и РПЗ курсовых проектов, которые необходимо распечатать. Кстати перед печатью также сохраняйте файл в PDF, так как принтер может начудить со шрифтами.
















