Информатика и программирование - Основы информатики (926517), страница 23
Текст из файла (страница 23)
При использовании вспомогательных алгоритмов возникают вопросы их оформления (таким образом, чтобы в дальнейшем можно было ссылаться на них из других алгоритмов) и техники включения в основные алгоритмы в процессе исполнения последних.
В схемах алгоритмов полная формализация в оформлении подчиненных алгоритмов не производится. Однако установлены некоторые общие правила их оформления. Для подчиненного алгоритма определяется его имя, входные и выходные данные. В блок-схеме в блоке начала указывается имя алгоритма и имена его входных величин – исходных данных, а в блоке конца указываются имена выходных величин – результатов. Переменные, перечисленные в блоках начала и конца, называются формальными параметрами. Их введение необходимо для того, чтобы при многократных вызовах подчиненного алгоритма можно было задавать различные значения исходных данных, а после его исполнения воспользоваться полученными результатами.
В качестве примера рассмотрим алгоритм вычисления степени y := an с натуральным показателем n (см. Рис. 9 .40). Оформим его как вспомогательный алгоритм. На Рис. 9 .47 приведена схема вспомогательного алгоритма, его имя – Step, его входные параметры – n, a, выходной параметр – y.
Рис. 9.47. Вспомогательный алгоритм вычисления степени
Вызов вспомогательного алгоритма (ссылка из основного алгоритма) осуществляется с помощью специального блока (см. табл. 9 .18). В блоке вызова вспомогательного алгоритма указываются его имя и список фактических параметров: конкретных значений и имен исходных данных и имен вычисляемых результатов, которые должны быть подставлены вместо формальных параметров при исполнении вспомогательного алгоритма. Количество и порядок формальных и фактических параметров должны совпадать.
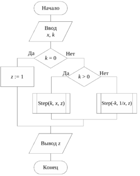
Далее рассмотрим алгоритм вычисления степени z = xk, x 0, с целым показателем k, пользуясь следующим определением:
Алгоритм вычисления z = xk построим, используя вспомогательный алгоритм Step вычисления степени с натуральным показателем. Схема алгоритма приведена на Рис. 9 .48.
Ссылка на вспомогательный алгоритм Step производится дважды: с фактическими параметрами k, x, z при k > 0 и с фактическими параметрами k, 1/x, z при k < 0. Исполняется вспомогательный алгоритм Step один раз в зависимости от введенного в основной программе значения k.
После выполнения совокупности действий, предусмотренных в Step, осуществляется возврат в основной алгоритм к блоку вывода, следующему за блоком обращения к вспомогательному алгоритму.
Рис. 9.48. Алгоритм вычисления степени с целым показателем
Очень важно понимать суть и механизм замены формальных параметров фактическими. Формальные параметры – это переменные, формально присутствующие во вспомогательном алгоритме и определяющие тип и место подстановки фактических параметров. Фактические параметры – это реальные величины основного алгоритма (константы, переменные, выражения), заменяющие при вызове вспомогательного алгоритма его формальные параметры. Над этими величинами и производятся действия, предусмотренные командами вспомогательного алгоритма. Замена формальных параметров фактическими осуществляется по порядку их следования, число и тип формальных и фактических параметров должны совпадать.
Глава 10.ПРОГРАММНОЕ ОБЕСПЕЧЕНИЕ ЭВМ
10.1.Жизненный цикл программного продукта
Совокупность программ, процедур и правил, а также документации, связанных с функционированием системы обработки данных, составляют программное обеспечение (ПО; software). Программное и аппаратное обеспечение в ЭВМ работают в неразрывной связи и взаимодействии.
ПО предназначено для решения конкретных задач. Приложение (application) – это программная реализация решения задачи на ЭВМ. В большинстве случаев, приложения разрабатываются для последующего выхода с ним на рынок ПО. Программный продукт (ПП) – это комплекс взаимосвязанных программ для решения определенной проблемы (задачи) массового спроса, подготовленный к реализации как любой вид промышленной продукции.
Жизненный цикл ПП состоит из трех стадий (Рис. 10 .49): 1) разработка ПП; 2) эксплуатация и сопровождение; 3) завершение жизненного цикла.
Рис. 10.49. Жизненный цикл программного продукта
Стадия разработки ПП включает следующие частично перекрывающиеся этапы.
МС – маркетинг рынка ПО и формирование требований к ПП предназначены для изучения требований к создаваемому ПП, включающие следующие действия:
- изучение сегмента рынка ПО, где предполагается использование разрабатываемого ПП, и анализ аналогичных ПП; определение состава и назначения функций обработки данных ПП;
- установление требований пользователя к способу взаимодействия с ПП (система меню, использование манипулятора «мышь», типы подсказок, виды экранных документов и т. п.);
- определение аппаратных и программных средств, необходимых для эксплуатации ПП.
ПС – проектирование структуры ПП связано с разработкой структуры ПП, структуры информационной базы задачи, выбором методов и средств создания программ – технологии программирования.
ПР – программирование и тестирование программ являются технической реализацией проектных решений и выполняются с помощью выбранного инструментария разработчика, включающего языки и системы программирования. Разработка отдельных модулей ПП ведется параллельно для сокращения продолжительности этого этапа. Тестирование является важным этапом разработки ПП и часто требует не меньше времени, чем программирование. Программа проверяется на устойчивость работы в случае неверных входных данных, ошибочных действиях пользователя и сбое аппаратного обеспечения. Тестирование разбивается на два этапа. Альфа-тестирование осуществляется в месте его разработки, и его результатом является стабильно работающая программа. Бета-тестирование производится у заказчика ПП для проверки его функциональности и выявления оставшихся ошибок. Тестирование продолжается и на этапе эксплуатации.
ДК – документирование ПП заключается в разработке необходимых сведений по установке и обеспечению надежной работы ПП, поддержке пользователей при выполнении функций обработки системой помощи и подсказок, определении порядка взаимодействия ПП с другими программами.
Стадия эксплуатации и сопровождения включает следующие этапы.
ВР – выпуск ПП на рынок ПО сопровождается различными приемами маркетинга: рекламой, увеличением числа каналов реализации, скидками, службой поддержки и др. ПП может быть выпущен на рынок как коммерческое, условно-бесплатное (shareware) или бесплатное (freeware) ПО. Для получения копии коммерческого пользователь должен предварительно его оплатить. Условно-бесплатное ПО является ознакомительным. Пользователь может попробовать данный ПП в течение определенного периода. По истечению этого периода пользователь должен купить ПО или отказаться от его использования. Бесплатное ПО не имеет ограничений на использование.
ЭП – эксплуатация ПП идет параллельно с этапом сопровождения. При этом эксплуатация может начинаться раньше и заканчиваться позже сопровождения.
СП – сопровождение ПП заключается в поддержке работоспособности ПП, переход на его новые версии, усовершенствование, исправление обнаруженных ошибок и т. п.
Стадия завершения жизненного цикла состоит из одного этапа.
СН – снятие ПП с продажи и отказ от сопровождения происходит, как правило, по следующим причинам:
- появлением новых технологий и устройств;
- плохих отзывах пользователей;
- смене политики разработчика этого ПП.
Длительность жизненного цикла для различных ПП различна. Для большинства современных ПП длительность жизненного цикла составляет в среднем 2-3 года.
10.2.Классификация программного обеспечения
Можно выделить следующие уровни (ПО) (в порядке убывания) (Рис. 10 .50):
1) прикладной уровень;
2) служебный уровень;
3) системный уровень;
4) базовый уровень.
Базовый уровень отвечает за взаимодействие с аппаратными средствами и хранится в базовой системе ввода-вывода (BIOS). Программы и данные записываются в ПЗУ на этапе производства и не могут быть изменены во время эксплуатации. ПО базового уровня выполняет следующие функции:
- тестирование оборудования после каждого включения ЭВМ, которое состоит из инициализации системных ресурсов и регистров микросхем, тестирования ОЗУ, инициализации контроллеров, определения и подключения ВЗУ;
- передача управления загрузчику операционной системы;
- управление электропитанием при выключении ЭВМ.
Системный уровень обеспечивает взаимодействие других программ компьютера с базовым уровнем и непосредственно с аппаратным обеспечением. Совокупность ПО системного уровня образует ядро операционной системы (ОС) ЭВМ. Ядро ОС выполняет следующие функции:
- управление и распределение памяти ОЗУ и ВЗУ;
- управление процессами ввода-вывода;
- поддержка файловой системы – упорядоченной совокупности объектов различного типа (файлов), хранящихся в ВЗУ;
- управление устройствами через специальные программы – драйверы;
- организация взаимодействия и диспетчеризации процессов – выполняемых в данный момент программ и задач;
- предоставление интерфейса пользователю для управления перечисленными функциями – системы окон, меню, панелей инструментов для вызова соответствующих функций.
Драйвер устройств – это программа, которая обеспечивает взаимодействие (преобразование сигналов, данных) с компонентами ЭВМ. Почти все компоненты взаимодействуют с ОС через драйверы.
Рис. 10.50. Уровни программного обеспечения
Служебный уровень автоматизирует работы по проверке и настройке компьютерной системы. Задачи, решаемые на служебном уровне, аналогичны задачам системного уровня, однако ПО служебного уровня решает их эффективней. Таким образом, служебный уровень дополняет системный уровень.
Типы служебных программ.
1. Диспетчеры файлов (файловые менеджеры). Предоставляют удобные средства для выполнения большинства операций по обслуживанию файловой системы: копированию, перемещению, переименованию файлов, созданию каталогов (папок), уничтожению объектов, поиску файлов и навигации в файловой системе.
2. Средства сжатия данных (архиваторы). Создают, обновляют и обслуживают архивных файлов, предназначенных для компактного хранения и передачи других файлов.
3. Средства диагностики. Предназначены для автоматизации процессов проверки правильности работы программного и аппаратного обеспечения и оптимизации работы компьютерной системы.
4. Средства просмотра и воспроизведения. Служат для просмотра текстовых файлов, графических изображений, воспроизведения звуковых или видеофайлов.
5. Средства обеспечения компьютерной безопасности. Служат для предотвращения несанкционированного доступа к файлам для их чтения, изменения или повреждения.
Прикладной уровень представляет собой комплекс прикладных программ, с помощью которых выполняются конкретные задачи (производственные, творческие, развлекательные и учебные).
Классификация прикладного ПО.
1. Офисные пакеты. Представляют собой комплексное решение задач, возникающих при документообороте в учреждениях и домашних условиях. Включают текстовый редактор для создания и обработки текстов; табличный процессор для подсчета и анализа числовых данных; систему управления базами данных (СУБД) для хранения и обработки данных; редактор презентаций для подготовки материалов для проведения лекций и презентаций.
2. Графические редакторы предназначены для создания и обработки графических изображений и делятся на три типа: редакторы растровой графики, редакторы векторной графики и редакторы трехмерной графики. Растровая графика состоит из массива точек разных цветов. Векторная графика представляет изображение в виде набора геометрических примитивов: точек, линий, прямоугольников, окружностей и др. Трехмерная графика строится на основе векторной графики, но к ней добавляются новые элементы, имитирующее третье измерение.
















