Информатика и программирование - Основы информатики (926517), страница 20
Текст из файла (страница 20)
3. НОД := М.
4. Вывести НОД.
Конец.
Блок-схема алгоритма Евклида представлена на Рис. 9 .25, где блок 1 есть подготовка цикла, блок 2 – управление циклом, блоки 3, 4, 5 – тело цикла (разветвляющаяся структура), из них блоки 4, 5 являются блоками модификации значений переменных цикла M и N. □
Рис. 9.25. Алгоритм Евклида
Блок-схемы являются исключительно простым и наглядным способом представления алгоритмов. Их очень полезно использовать при разработке общей структуры алгоритма, чтобы отчетливо представить себе алгоритм в целом и проследить все логические связи между его отдельными частями, проверить все ли возможные варианты решения поставленной задачи нашли в нем отражение.
Блок-схемы не накладывают никаких ограничений на степень детализации в изображении алгоритма. Это определяется программистом. Однако следует помнить, что схемы общего характера малоинформативны, а излишне подробные схемы проигрывают в наглядности. При разработке сложных алгоритмов, чтобы уяснить сущность выполняемых действий и выявить основные связи, сначала пытаются представить его общей схемой в виде достаточно крупных блоков. Затем эти крупные блоки разбивают на более мелкие, составляя более детальные схемы и проверяя их логическую правильность. Именно так мы поступили при разработке алгоритма Евклида, при этом использовали и словесную форму записи, и блок-схему.
| Замечание. Стандарты предусматривают использование циклической структуры общего вида (безотносительно к типу цикла), представленной справа. Условие продолжения или окончания цикла может быть указано как в верхнем, так и в нижнем блоке. Её применение целесообразно только в простых алгоритмах, в более сложных, она теряется в общей структуре алгоритма ввиду отсутствия явной передачи управления. |
|
9.4.3.Структурограммы
В практике структурного программирования для представления алгоритмов используются также структурограммы (схемы Насси-Шнейдермана). Этот способ позволяет изображать схему передач управления в алгоритме не с помощью явного указания линий потоков информации, а с помощью представления вложенности структур – функциональных блоков, которые используются для описания выполняемых действий. Некоторые из используемых в этом способе блоков соответствуют их изображению в схемах алгоритмов. Для изображения алгоритмов в структурограммах используются следующие блоки.
| 1. Блок обработки (вычислений). Каждый блок является блоком обработки. Каждый прямоугольник внутри любого блока представляет собой также блок обработки. | |
| 2. Блок следования. Этот блок объединяет ряд следующих друг за другом процессов обработки. | |
| 3. Блок решения. Этот блок применяется для обозначения структуры ветвления. Условие располагается в верхнем треугольнике, варианты решения – по сторонам треугольника, процессы обработки – в нижних прямоугольниках. Если блок решения является сокращенным (отсутствует одна из ветвей), то структурограмма видоизменяется соответствующим образом. | |
| 4. Блок варианта реализует структуру многоальтернативного выбора. Варианты, которые можно сформулировать точно, размещаются слева, остальные объединяются в один, называемый выходом по несоблюдению условий, располагаемый справа. Правую часть можно оставить незаполненной или опустить. | |
| 5. Блок цикла с предусловием реализует циклическую структуру с проверкой условия в начале цикла. Условие продолжения цикла размещается в верхней полосе, сливающейся с левой, указывающей границу цикла. Данный блок может быть использован и для обозначения цикла с параметром, тогда вверху указывают закон изменения параметра цикла. | |
| 6. Блок цикла с постусловие аналогичен блоку цикла с предусловием, но условие окончания цикла располагают внизу. Каждый блок имеет форму прямоугольника и может быть вписан в любой внутренний прямоугольник любого другого блока. Блоки дополняются элементами словесной записи с использованием математической символики. На Рис. 9 .26 приведен пример структурограммы алгоритма Евклида. | |
| Рис. 9.26. Структурограмма |
9.5.Технология разработки алгоритмов
Опыт практической алгоритмизации и программирования привел к формированию неких общих принципов и методов проектирования, разработки и оформления алгоритмов.
Какими качествами должен обладать хороший алгоритм?
Прежде всего, от алгоритма требуется, чтобы он правильно решал поставленную задачу. Но не менее важно, какой ценой это достигается. Речь идет о разумности затрат на его создание. С этой точки зрения алгоритм должен быть легким для понимания, простым для доказательства правильности и удобным для модификации. В рамках такой идеологии и сформировался так называемый структурный подход к конструированию и оформлению алгоритмов, позволяющий уменьшить количество ошибок в алгоритмах, упрощающий их контроль и модификацию.
По своей сути структурный подход есть отказ от беспорядочного стиля в алгоритмизации и программировании (в частности, отказ от оператора go to) и определение ограниченного числа стандартных приемов построения легко читаемых алгоритмов и программ с ясно выраженной структурой. Теоретическим фундаментом этого подхода является теорема о структурировании, из которой следует, что алгоритм решения любой практически вычислимой задачи может быть представлен с использованием трех элементарных базисных управляющих структур: а) структуры следования или последовательности; б) структуры ветвления; в) структуры цикла с предусловием (Рис. 9 .27, соответственно а, б, в, где P – условие, S – оператор).
Рис. 9.27. Базисные управляющие структуры
Базисный набор управляющих структур является функционально полным, то есть с его помощью можно создать любой сколь угодно сложный алгоритм. Однако с целью создания более компактных и наглядных алгоритмов дополнительно используются следующие управляющие структуры: а) структура сокращенного ветвления; б) структура выбора; в) структура цикла с параметром; г) структура цикла с постусловием (Рис. 9 .28, соответственно а, б, в, г).
В разных языках программирования реализация базовых управляющих структур может быть различной. В языке Паскаль реализованы все рассмотренные структуры.
Рис. 9.28. Дополнительные управляющие структуры
Любой алгоритм может быть построен посредством композиции базисных и дополнительных структур:
- путем их последовательного соединения образования последовательных конструкций;
- путем их вложения друг в друга образования вложенных конструкций.
Например, алгоритм Евклида, описанный ранее, представляет собой комбинацию из трех управляющих структур: последовательности, цикла и ветвления (Рис. 9 .29).
Рис. 9.29. Алгоритм Евклида как композиция базисных структур
Каждая из структур может рассматриваться как один блок с одним входом и одним выходом. Таким образом, мы можем ввести преобразование любой структуры в функциональный блок. Тогда всякий алгоритм, составленный из стандартных структур, поддается последовательному преобразованию к единственному функциональному блоку и эта последовательность преобразований может быть использована как средство понимания алгоритма и доказательства его правильности. Обратная последовательность преобразований может быть использована в процессе проектирования алгоритма по нисходящей схеме с постепенным раскрытием единственного функционального блока в сложную структуру основных элементов. В области автоматизированной обработки данных такой подход называют нисходящим проектированием или проектированием «сверху вниз».
Разработка алгоритма по нисходящей схеме начинается с разбиения сложной исходной задачи на отдельные более простые подзадачи, решение которых может быть представлено в общей структуре алгоритма функционально независимыми блоками. Разработку логической структуры каждого такого блока и ее модификацию можно осуществлять независимо от остальных блоков. На первом этапе проекта раскрываются наиболее важные и существенные связи в исследуемой задаче, составляется укрупненная схема алгоритма, определяется функциональное назначение каждого блока, его входные и выходные данные. На последующих этапах проектирования уточняется логическая структура отдельных функциональных блоков общей схемы, строятся схемы алгоритмов выделенных ранее подзадач. Разработка алгоритма каждой подзадачи также может осуществляться в несколько этапов детализации. На каждом этапе проекта выполняются многократные проверки и исправления алгоритма. Подобный подход является достаточно рациональным, позволяет значительно ускорить процесс разработки сложных алгоритмов, и в значительной мере избежать ошибочных решений.
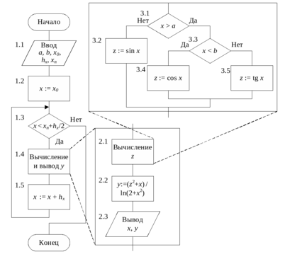
В качестве примера рассмотрим задачу табулирования функции одной переменной, то есть вычисление значений функции у = f(x) для всех значений х, изменяющихся от х0 до хn с шагом hx, сокращенно:
x = х0(hx) хn.
Пусть
a, b, x0, hx, xn – исходные данные.
Процесс проектирования алгоритма табулирования функции у = f(x) показан на Рис. 9 .30, а. На первом уровне детализации схема отражает процесс табулирования функции в общем виде (блоки 1.1-1.5). Далее осуществляется детализация блока 1.4 в виде последовательности блоков 2.1-2.3 второго уровня. Функция z = z(x), входящая в определение исходной функции, представлена разветвляющейся структурой третьего уровня детализации (блоки 3.1-3.5).
Рис. 9.30. Нисходящая схема проектирования
алгоритма вычисления сложной функции
















