otchet_2 (847211)
Текст из файла
МИНОБРНАУКИ РОССИИ
ФГБОУ ВО Уральский государственный лесотехнический университет
Институт химической переработки растительного сырья
и промышленной экологии
Кафедра технологий целлюлозно-бумажных производств
и переработки полимеров
УТВЕРЖДАЮ
«___» ___________ ______г.
О Т Ч Е Т
о лабораторной работе № 2 на тему:
«Получение и исследование свойств древесно-полимерных композитов»
по дисциплине «Технология получения и переработки ПКМ»
Введение
В производстве древесных поликомпозитов (ДПК) используется широкий спектр органических наполнителей и их смесей с минеральными наполнителями[1]. Наибольшее применение находят целлюлозные и лигноцеллюлозные наполнители растительного происхождения. Их широкое распространение обусловлено экономическими и экологическими причинами: наполнители растительного происхождения являются возобновляемыми ресурсами с относительно низкой себестоимостью. Все наполнители растительного происхождения можно разделить на две группы: древесные и недревесные.
К древесным наполнителям растительного происхождения относятся: древесный опил, древесная стружка, древесная мука, древесные и целлюлозные волокна и другие древесные частицы.
Древесная мука – древесные частицы заданного гранулометрического состава, полученные путём сухого механического размола древесины. Частицы древесной муки, как правило, имеют продолговатую форму, поэтому точный их размер не регламентируется, однако при просеивании основная часть муки должна проходить через сито с размером ячеек 1,25×1,25 мм. Традиционно именно древесная мука наиболее широко применяется в производстве ДПКт в качестве наполнителя. В значительно меньших количествах используются древесные и целлюлозные волокна [2].
Метод твердости применяют и в технологических целях, например, для оптимизации содержания пластификатора, количества и вида наполнителя, условий переработки материала в изделия.
По твердости можно оценить модуль упругости, коэффициент Пуассона, предел текучести и разрушающее напряжение.
Известные методы определения твердости отличаются геометрией индентора. Твердость пластмасс оценивают по методу Бринелля, как отношение нагрузки к поверхности сферического отпечатка, образуемого при вдавливании стального шарика 5 мм под действием нагрузки в течение времени.
Под термином прочность понимают способность материала сопротивляться воздействию внешнего механического поля. Прочность обеспечивает сохранение формы изделия, к которому приложена внешняя нагрузка. Под действием внешней нагрузки в материале изделия возникает механическое напряжение, или, как принято называть, напряжение.
Определяют следующие основные пределы прочности: при растяжении, сжатии и изгибе. Способность полимерных материалов сопротивляться нагрузкам, приложенным с большой скоростью (более 1 м/с), оценивается их ударной прочностью, или, как ее называют, ударной вязкостью. Ударная вязкость – это отношение энергии разрушения образца к площади его поперечного сечения.
Цель работы
Получить полимерный композитный материал экструзионным методом. Из композитного материала методом прессования получить диск диаметром 90 мм. Определить физические свойства полученного композитного материала (плотность, твердость, модуль упругости, прочность при изгибе, ударная вязкость, водопоглощение за 24 часа).
Ход работы
Процесс экструзии проводили на лабораторном экструдере ЛЭРМ-1. В зону смешивания компонентов при температуре 180 °С вносили предварительно смешанную смесь: 12 г. пластификатора ДБФ (дибутилфталата), 50 г. древесной муки (ДМ), 1,5 г. смазки и 36,5 г. поливинилхлорида (ПВХ). Время процесса экструзии составило 30-40 мин. при температуре 180 °С. В результате экструзии были получены образцы композитного материала цилиндрической формы длиной 15-20 см, диаметром 7-9 мм. Из данных образцов методом прессования получили диск диаметром 90 мм. Масса диска составила 30±2 г.
Проводили измерения показателей полученного диска в процессе прессования:
1. твердость по Бринеллю;
2. ударная вязкость (прочность);
3. предел прочности при изгибе;
4. плотность;
5. модуль упругости;
6. водопоглощение.
Т
Рисунок 2 – Схема определения твердости по Бринеллю: 1 – стальной шарик; 2 – образец; 3 – стол прибора
вердость определяли при помощи твердомера лабораторного ТКП-1 (рисунок 1). Измерения и расчеты занесены в таблицы 1-2.Рисунок 1 – Схема твердомера лабораторного ТКП-1
При стандартных испытаниях нагрузка на шарик задается из условия вдавливания его на глубину не менее 0,15 мм и не более 0,35 мм (нагрузки 49; 132,4; 358; 961 Н).
Таблица 1 – Результаты измерения твердости, сторона А
| Твердость, модуль упругости
| P, H= | 132,4 | ||
|
| НБ,МПа | У,% | E,МПа | |
| 1 | 41,9 | 92,4 | 489,6 | |
| 2 | 35,1 | 76,1 | 395,8 | |
| 3 | 52,9 | 86,8 | 649,1 | |
| 4 | 26,8 | 70,4 | 281,1 | |
| 5 | 34,1 | 86,3 | 381,5 | |
| 6 | 23,7 | 82,1 | 238,7 | |
| 7 | 74,6 | 84,4 | 949,9 | |
| 8 | 24,4 | 83,6 | 248,5 | |
| 9 | 22,8 | 80,1 | 226,6 | |
| 10 | 57,6 | 92,6 | 715,9 | |
| Среднее значение: | 39,4 | 83,5 | 457,7 | |
HБ - твердость по Бринеллю, E- контактный модуль упругости, У - число упругости.
Таблица 2 – Результаты измерения твердости, сторона Б
| Твердость, модуль упругости
| P, H= | 132,4 | |||||
|
| НБ,МПа | У,% | E,МПа | ||||
| 1 | 52,1 | 86,9 | 638,1 | ||||
| 2 | 25,5 | 83,7 | 262,7 | ||||
| 3 | 30,2 | 88,4 | 326,7 | ||||
| 4 | 42,9 | 87,3 | 507,6 | ||||
| 5 | 58,1 | 90,1 | 722,6 | ||||
| 6 | 33,1 | 88,9 | 368,1 | ||||
| 7 | 42,2 | 85,6 | 496,7 | ||||
| 8 | 30,9 | 86,6 | 337,7 | ||||
| 9 | 58,1 | 91,4 | 722,6 | ||||
| 10 | 20,9 | 90,5 | 202,7 | ||||
| Среднее значение: | 39,4 | 87,9 | 458,5 | ||||
Образец в виде плоскопараллельной пластинки или диска устанавливают на столик прибора и вращением маховика поднимают винт до сопри-косновения образца с шариком. При этом должно создаться усилие предварительного прижатия образца величиной до 10 Н. Нагружающий рычаг твердомера плавно поворачивают против часовой стрелки на 1800 (на себя), благодаря чему создается задаваемое усилие. Продолжительность такого приложения 30±2 с. По истечении этого времени по индикатору часового типа прибора фиксируют глубину h вдавливания шарика с точностью ±0,002 мм и рычаг переводят в вертикальное положение. Через 60±5 с фиксируют остаточная деформация h1.
Твердость НВ (МПа) вычисляют для глубины вдавливания шарика h0 = 0,25 мм по формуле
где P – нагрузка, приложенная к шарику, Н;
d – диаметр шарика, мм;
h – глубина отпечатка, мм;
0,21 – коэффициент приведения нагрузки к глубине вдавливания h0.
Число упругости У (%) вычисляют по формуле
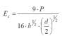
Величину модуля упругости (контактного) при сжатии Ес (МПа) приближенно можно оценить по следующим уравнениям:
За результат испытаний принимают среднее арифметическое всех параллельных определений, которое округляют до целого числа.
Измерения ударной вяскости и предела прочности при изгибе проводили на приборе “Динстат-Дис”, штангенциркулем (с точностью до 0,05 мм) измеряли толщину и ширину. Образец устанавливали на опоры прибора широкой стороной b (рисунок 3).
Рисунок 3 – Схема испытаний на консольный изгиб на приборе «Динстат-Дис»: 1 – образец; 2 – призматический зажим маятника; 3 – неподвижная опора маятника; 4 – неподвижная опора рычага изгиба; 5 – призматический зажим рычага изгиба
Образец, закрепленный между опорами изгиба и призматическими передвижными зажимами, является соединительным звеном между вращающимся диском, к которому присоединен рычаг изгиба с верхним зажимным приспособлением (4 и 5, рисунок 3) и маятником. При вращении рукоятки прибора по часовой стрелке диск вращается против часовой стрелки, отклоняя маятник через образец, который при отклонении испытывает изгибающий момент.
Величину изгибающего момента показывает стрелка отклоняющегося маятника по правой шкале прибора.
Когда образец, нагруженный маятником, начинает прогибаться, вращаемый диск с градусной шкалой опережает маятник со стрелкой изгибающего момента. Величина прогиба образца находится над нулевой отметкой шкалы момента изгиба.
При разрушении образца необходимо вращение рукоятки немедленно
прекратить, чтобы исключить ошибочный отсчет, а части изломанного образца удалить. Измеряемые величины установить отсчетом, а именно:
а) изгибающий момент Mи − по положению стрелки по шкале момен-
тов, измеряемый в кгс·см;
б) угол изгиба б (0) − по градусной шкале на месте, указанном нуле-
вой отметкой шкалы моментов.
Результатом испытания является изгибающее напряжение σи (МПа),
которое вычисляется по соотношению
где Mи – изгибающий момент по шкале прибора «Динстат-Дис», кгс·см; b и h – ширина и толщина образца, мм.
За результат испытания принимают среднее арифметическое пяти определений, вычисляемое до третьей значащей цифры (результаты в таблице 3).
Характеристики
Тип файла документ
Документы такого типа открываются такими программами, как Microsoft Office Word на компьютерах Windows, Apple Pages на компьютерах Mac, Open Office - бесплатная альтернатива на различных платформах, в том числе Linux. Наиболее простым и современным решением будут Google документы, так как открываются онлайн без скачивания прямо в браузере на любой платформе. Существуют российские качественные аналоги, например от Яндекса.
Будьте внимательны на мобильных устройствах, так как там используются упрощённый функционал даже в официальном приложении от Microsoft, поэтому для просмотра скачивайте PDF-версию. А если нужно редактировать файл, то используйте оригинальный файл.
Файлы такого типа обычно разбиты на страницы, а текст может быть форматированным (жирный, курсив, выбор шрифта, таблицы и т.п.), а также в него можно добавлять изображения. Формат идеально подходит для рефератов, докладов и РПЗ курсовых проектов, которые необходимо распечатать. Кстати перед печатью также сохраняйте файл в PDF, так как принтер может начудить со шрифтами.
















