otchet_2 (847211), страница 2
Текст из файла (страница 2)
Таблица 3 – Результаты измерения предела прочности при изгибе
| № | b, мм | h, мм | Мu кг*см | σи, МПа |
| 1 | 10,9 | 4,4 | 6 | 16,7 |
| 2 | 11,4 | 5,1 | 9 | 17,9 |
| 3 | 10,9 | 4,4 | 5 | 13,9 |
| 4 | 11,5 | 5,3 | 9 | 16,4 |
| 5 | 11,8 | 5,5 | 8 | 13,2 |
| σсреднее= | 15,6 | |||
| S2 = | 0,8 | |||
| S = | 0,9 | |||
| Кv= | 5,7 |
Для определения ударной вязкости пластмасс при консольном закреплении образца (рисунок 4) применяются стандартные образцы-пластинки, имеющие размеры LЧbЧh = (15,0±1,0)Ч(10,0±0,5)Ч(1,5−4,5) мм.
Р
исунок 4 – Схема испытаний на ударную прочность и по Динстат: 1 – образец; 2 – боек маятника; 3 – нижняя зажимная опора; 4 – передвижная опора.
Взведенный маятник с подвешенными добавочными грузами фиксируется в верхнем положении защелкой. Образец ставится вертикально между нижней зажимной опорой и передвижной опорой. Вращением рукоятки совмещают нулевые отметки градусной шкалы и шкалы изгибающих моментов. Стрелку установить на нуль шкалы ударного изгиба. После нажатия на щеколду защелки маятник освобождается, падает вниз, и боек маятника разрушает образец. По положению стрелки делают отсчет работы удара А (кгс·см).
Ударную вязкость а (кДж/м2) определяют по соотношению
где А – работа по разрушению образца по шкале прибора «Динстат-Дис», кгс·см; b и h – ширина и толщина образца, мм.
За результат испытания принимают среднее арифметическое пяти определений, вычисляемое до третьей значащей цифры (результаты измерения в таблице 4).
Таблица 4 – Результаты измерения ударной вязкости
| № | b, мм | h, мм | А,кгс*м | а,кДж/м2 |
| 1 | 10,2 | 5,1 | 4,9 | 9,2 |
| 2 | 10,7 | 4,3 | 5,9 | 12,6 |
| 3 | 10,4 | 3,9 | 6,2 | 14,9 |
| 4 | 10,3 | 5,0 | 7,0 | 13,3 |
| 5 | 10,5 | 4,6 | 7,1 | 14,4 |
| aср= | 12,9 | |||
| S2 = | 1,1 | |||
| S = | 1,1 | |||
| Кv, %= | 7,8 |
Водопоглощение находится при помощи методики, основанной на определении изменения массы образца в воде. Для данной методики понадобится: эксикатор с фарфоровой решеткой, весы аналитические, образцы полимерных материалов, стеклосетка, фильтровальная бумага, дистиллированная вода.
Образец должен иметь качественную поверхность без механических повреждений, вздутий, трещин и расслоений. Образец, подготовленный к испытаниям, взвешивают с точностью до ±0,0001 г, укладывают на стеклосетку на фарфоровой решетке, помещают в емкость с дистиллированной водой при температуре 20±1,5 0С или с другой жидкой средой. После выдержки в воде в течение 24 ч образец извлекают; фильтровальной бумагой с поверхности удаляют избыток влаги (жидкости) и повторно взвешивают.
За показатель водопоглощения стандартного образца 50Ч3 мм (в мг) принимают массу поглощенной воды (среднее арифметическое трех параллельных испытаний), рассчитанную по формуле
где G0 и G1 – масса образца соответственно до и после водопоглощения, г.
Результаты измерений водопоглощения занесены в таблицу 5.
Таблица 5 – Результаты измерения водопоглощения
| № | m0, г | m1, г | ВП, % |
| 1 | 8,7 | 8,9 | 2,4 |
| 2 | 5,3 | 5,5 | 3,0 |
| Среднее= | 2,7 | ||
| S= | 0,2 | ||
| Kv= | 7,6 |
Анализ результатов
Полученные при испытаниях расчеты занесли в таблицу 6 и сравнили результаты с другими композитами.
Таблица 6 – Физические свойства полученного композита
| Содержание пластификатора ДБФ, г | Свойство | ||||||
| Плотность, кг/м3 | Твердость, МПа | Модуль упругости, МПа | Число упругости, % | Прочность при изгибе, МПа | Ударная вязкость, кДж/м2 | Водопоглощение за 24 ч, % | |
| 4 | 1300 | 46,6 | 563,1 | 95,8 | 25,3 | 5,5 | 2,8 |
| 8 | 1358 | 89,4 | 612,8 | 98,5 | 19,8 | 4,2 | 1,5 |
| 10 | 1358 | 60,3 | 743,1 | 73,4 | 31,9 | 3,6 | 2,6 |
| 12 | 1400 | 37,9 | 458,1 | 85,7 | 15,6 | 12,9 | 2,7 |
П
од микроскопом были сделаны снимки полученного композита (рисунок 5):
Рисунок 5 – Снимки полученного композитного материала
Из данных снимков можно сделать вывод, что материалы были смешаны неравномерно – местами преобладают светлые и темные участки. То жесамое наблюдается и у сравниваемых композитных материалов (рисунок 6).
а
б
в
Рисунок 6 – Снимки полученного композитного материала под микроскопом в зависимости от содержания ДБФ: а – 4 г., б – 8 г., в – 10 г.
По результатам, представленным в таблице 6, были построены следующие графики:
Рисунок 7 – График зависимости твердости композитного материала
от содержания ДБФ
Способность композита сопротивляться вдавливанию изменяется в зависимости от массы ДБФ. График имеет параболическую форму. Наибольшее значение твердости соответствует значению массы ДБФ, равному 8 г.
Рисунок 8 – График зависимости плотности композитного материала
от содержания ДБФ
На графике представлена линейная зависимость, показывающая увеличение плотности с ростом количества ДБФ, т.к. дибутилфталат является пластификатором – веществом, которое вводят в полимерный материал для увеличения эластичных и пластичных свойств.
Рисунок 9 – График зависимости числа упругости композитного материала
от содержания ДБФ
Упругость – свойство материала возвращаться в исходную форму в результате деформации. График имеет криволинейную зависимость. По полученным измерениям видно, что число упругости уменьшается при увеличении массы ДБФ.
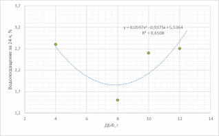
Рисунок 10 – График зависимости водопоглощения композитного материала за 24 ч. от содержания ДБФ
Водопоглощение исследуемого образца в результате замеров увеличилось, т.к. образец, находясь в водной среде, впитал в себя некоторое количество жидкости. График имеет криволинейную зависимость.
Рисунок 11 – График зависимости модуля упругости композитного материала от содержания ДБФ
Модуль упругости - сопротивление растяжению/ сжатию при упругой деформации – сначала увеличивается при увеличении массы ДБФ, затем уменьшается. График имеет криволинейную зависимость.
Рисунок 12 – График криволинейной зависимости прочности при изгибе композитного материала от содержания ДБФ
Предел прочности при изгибе – максимальное изгибающее напряжение, которое материал способен выдержать. Сначала при увеличении массы ДБФ предел прочности уменьшается, затем увеличивается и снова уменьшается.
Рисунок 13 – График криволинейной зависимости ударной вязкости композитного материала от содержания ДБФ
Ударная вязкость – способность материала поглощать механическую энергию под действием ударной нагрузки. Наименьшее значение ударной вязкости соответствует массе ДБФ 10 г, затем, при увеличении массы ДБФ ударная вязкость увеличивается.
Заключение
Получили полимерный композитный материал. Определили его физические свойства. Из полученных нами данных можно сделать вывод, что при увеличении содержания ДБФ, показатели, такие как модуль упругости и прочность при изгибе наиболее высоки. При достижении ДБФ 12 г. ударная вязкость резко возрастает. Число упругости и твердость - наиболее высокие показатели при ДБФ равном 8 г. Самая высокая плотность наблюдается при значении ДБФ 12 г.
Список источников
-
Клёсов А. А. Древесно-полимерные композиты. – СПб: Научные основы и технологии, 2010. – 736 с.
-
Глухих В.В., Мухин Н.М., Шкуро А.Е., Бурындин В.Г. Получение и применение изделий из древесно-полимерных композитов с термопластичными полимерными матрицами: Учеб. пособие. – Екатеринбург: Урал. гос. лесотехн. ун-т, 2014. – 85 с.
















