1629381904-854b28dd2e7fec4f964eacd69e8e5b01 (846421)
Текст из файла
Российский Университет Дружбы Народов
Лабораторная работа №3
ФИЛЬТРЫ ВЫСОКИХ И НИЗКИХ ЧАСТОТ НА ОСНОВЕ ДИФФЕРЕНЦИРУЮЩИХ И ИНТЕГРИРУЮЩИХ RC-ЦЕПЕЙ
Выполнили:
Группа:
Москва, 2020 г.
Цель работы
Исследовать стационарные и переходные характеристики линейных четырёхполюсников (RC-цепей).
Теоретические сведения
Четырехполюсник – это электрическая цепь, имеющая два входных и два выходных вывода и, следовательно, имеющая четыре полюса.
Активные элементы – элементы, усиливающие мощность колебаний, подводимых к ним.
Реактивные (или пассивные) элементы – элементы, которые способны только изменять форму подводимых к ним сигналов. Частотный коэффициент передачи – параметр, равный отношению амплитуды на выходе четырехполюсника к амплитуде напряжения на входе.
Воспользуемся понятием комплексных амплитуд:
.
,где
– комплексная единица.
Амплитудно-частотная характеристика (АЧХ) – зависимость модуля коэффициента передачи напряжения от частоты.
.
Фазочастотная характеристика (ФЧХ) – зависимость фазового сдвига между напряжениями на выходе и входе от частоты.
.
Полоса пропускания (рабочая полоса) – область частот, где модуль коэффициента передачи
имеет значение
от своего максимального значения. Выбор
обосновывается тем, что на границах полосы пропускания модуль коэффициента передачи по мощности уменьшается в 2 раза.
Ширина полосы пропускания равна разности верхней и нижней частот:
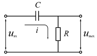
Дифференцирующая цепь:
Мгновенное значение напряжения для всей линейной цепи:
,
где
- мгновенное значение тока.
Таким образом, получили, что анализируемая RC-цепь может осуществлять линейную операцию дифференцирования поданного на нее сигнала.
Запишем комплексную амплитуду тока:
Найдем частотный коэффициент передачи:
Вычислим модуль частотного коэффициента передачи:
Найдем фазу частотного коэффициента передачи:
Дифференцирующая цепь является фильтром верхних частот. Получим граничную частоту полосы пропускания:
Частоты среза – граничные частоты полосы пропускания.
Найдем сдвиг по фазе между выходным и входным напряжениями:
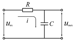
Интегрирующая цепь:
Таким образом, при большом значении постоянной времени
выходное напряжение приближается к интегралу от входного, т.е. рассматриваемая RC-цепь интегрирует входной сигнал.
Запишем комплексную амплитуду тока через комплексное входное напряжение:
Вычислим модуль данного частотного коэффициента передачи:
Вычислим фазу частотного коэффициента передачи:
Интегрирующая цепь пропускает низкие частоты и задерживает высокие. Найдем верхнюю граничную частоту полосы пропускания интегрирующей цепи:
Найдем сдвиг по фазе между входным и выходным напряжениями:
Переходные процессы в RC-цепях
При изменении внешнего воздействия, т.е. при переходе к новому стационарному состоянию, при наличии в цепи реактивных элементов можно наблюдать переходные (или нестационарные) процессы.
Для отыскания токов
и напряжений
в переходных процессах необходимо найти общие решения дифференциальных уравнений цепи.
При
. Поэтому
. Следовательно,
является током установившегося режима, который устанавливается после происшедших изменений в цепи.
Принцип суперпозиции:
,
где
– функция внешнего воздействия,
- совокупность простых функций, в виде суммы которых можно представить функцию внешнего воздействия.
Если отклик исследуемой цепи на воздействие
равен известной функции
, то, по принципу наложения:
Функция единичного скачка (функция Хевисайда):
Функция единичного импульса (
-функция или функция Дирака):
Отклик цепи на подачу на ее вход единичного скачка (напряжения или тока) – переходная характеристика цепи
.
Отклик цепи на подачу на ее вход единичного импульса (напряжения или тока) – импульсная характеристика цепи
.
Переходные процессы в дифференцирующей цепи:
Будем считать, что в качестве входного напряжение используется функция единичного скачка.
При
, тогда
.
Константу
можно найти из условия, что в начальный момент времени
выходное напряжение равно входному напряжению, т.е.
. Следовательно,
Переходная характеристика дифференцирующей RC-цепи:
Переходные процессы в интегрирующей цепи:
При
, тогда
Рассмотрим частное решение, которое описывает стационарный (установившийся) режим.
, т.к. на цепь воздействует функция единичного скачка.
Константу
можно найти из начальных условий. Т.к. напряжение на емкости скачком изменяться не может, то в начальный момент
.
Таким образом, переходная характеристика интегрирующей RC-цепи:
Расчетное задание:
Рассчитаем постоянную времени цепи:
с;
Рис. 1. АЧХ и ФЧХ дифференцирующей цепи
Тогда формулы АЧХ и ФЧХ для дифференцирующей цепи примут вид:
Д
ля формул АЧХ и ФЧХ интегрирующей цепи будут следующими:
Рис. 2. АЧХ и ФЧХ интегрирующей цепи
Рассчитаем переходные характеристики.
Для дифференцирующей цепи:
Дли интегрирующей цепи:
Рис. 4. Переходная характеристика для интегрирующей цепи
Рис. 3. Переходная характеристика для дифференцирующей цепи
Порядок выполнения работ:
Рис. 5. Схема дифференцирующей цепи с подключенным осциллографом для снятия характеристик
И
сследование дифференцирующей RC-цеп
Установим входное напряжение 5 В и снимем данные с осциллографа, меняя частоту от 50 Гц до 20кГц.
| f, Гц | U, мВ | f, Гц | U, мВ |
| 50 | 36 | 4500 | 2300 |
| 500 | 170 | 6000 | 3120 |
| 1000 | 610 | 8000 | 3400 |
| 1500 | 940 | 10000 | 4000 |
| 2500 | 1460 | 15000 | 4200 |
| 3500 | 2040 | 20000 | 4400 |
Таблица 1. Экспериментальные данные АЧХ дифференцирующей цепи снятые с осциллографа
Рис. 6. АЧХ дифференцирующей цепи по данным осциллографа
|
|
|
| 50 | 86,8 |
| 1000 | 78,4 |
| 2500 | 67,7 |
| 4500 | 55,2 |
| 8000 | 40,0 |
| 10000 | 32,7 |
| 15000 | 25,9 |
| 20000 | 24,0 |
Таблица 2. Экспериментальные данные ФЧХ дифференцирующей цепи снятые с осциллографа
Рис. 7. ФЧХ дифференцирующей цепи по данным осциллографа
Исследование интегрирующей RC-цепи
Рис. 8. Схема интегрирующей цепи с подключенным осциллографом для снятия характеристик
С
хема установки
Таблица. 3. Экспериментальные данные АЧХ интегрирующей цепи снятые с осциллографа
Проделаем тоже самое, что и в первом опыте.| f, Гц | A, В | f, Гц | A, В |
| 50 | 5,0 | 10000 | 3,0 |
| 500 | 5,0 | 12000 | 2,6 |
| 1000 | 5,0 | 14000 | 2,4 |
| 3000 | 4,8 | 16000 | 2,2 |
| 5000 | 4,5 | 18000 | 2,0 |
| 7000 | 3,8 | 19000 | 1,9 |
| 9000 | 3,2 | 20000 | 1,8 |
Рис. 9. АЧХ интегрирующей цепи по данным осциллографа
Теперь найдем данные для построения ФЧХ.
|
|
|
| 50 | -2,0 |
| 1000 | -9,0 |
| 7000 | -35,0 |
| 9000 | -39,0 |
| 14000 | -46,0 |
| 18000 | -47,0 |
| 20000 | -48,0 |
Таблица. 4. Экспериментальные данные ФЧХ интегрирующей цепи, снятые с осциллографа
Рис. 10. ФЧХ интегрирующей цепи по данным осциллографа
Характеристики
Тип файла документ
Документы такого типа открываются такими программами, как Microsoft Office Word на компьютерах Windows, Apple Pages на компьютерах Mac, Open Office - бесплатная альтернатива на различных платформах, в том числе Linux. Наиболее простым и современным решением будут Google документы, так как открываются онлайн без скачивания прямо в браузере на любой платформе. Существуют российские качественные аналоги, например от Яндекса.
Будьте внимательны на мобильных устройствах, так как там используются упрощённый функционал даже в официальном приложении от Microsoft, поэтому для просмотра скачивайте PDF-версию. А если нужно редактировать файл, то используйте оригинальный файл.
Файлы такого типа обычно разбиты на страницы, а текст может быть форматированным (жирный, курсив, выбор шрифта, таблицы и т.п.), а также в него можно добавлять изображения. Формат идеально подходит для рефератов, докладов и РПЗ курсовых проектов, которые необходимо распечатать. Кстати перед печатью также сохраняйте файл в PDF, так как принтер может начудить со шрифтами.
















