лекция Додонов (832089), страница 8
Текст из файла (страница 8)
Лекция 20
Пример:
Граф состояния системы
Рисунок 1
Состоит из 4х состояний системы
Si – состояние системы
Техническая система S состоит из 2х больших основных узлов (ГПМ токарный): станок, робот
Система из 2х узлов может иметь состояния:
S0 - станок и робот исправны (все работает)
S1 – ремонтируется станок
S3 – ремонтируется робот
S4 – ремонтируется и робот, и станок
По дугам можно перейти из одного состояния в другое (но нету вертикальных линий, т.к. одновременная поломка маловероятна и ею пренебрегаем)
Размеченный граф состояний
- Интенсивность перехода из одного состояния в другое по причине ненадежности станка и робота
– интенсивность восстановления
Зная интенсивности перехода можно определить вероятности нахождения системы в каждом из этих состояний
Для обозначения характеристик систем массового обслуживания используются символы М, D, E, G, обозначающие экспоненциальное распределение (М), регулярное распределение (D), эрландовское распределение (Е), произвольное распределение (G).
М / М / 1 – экспоненциальное распределение входящего потока, экспоненциальное распределение времени обслуживания.
1 – обслуживающий прибор/станок
Кроме этих есть еще 4 и 5 позиция . 4 – максимальнаядлина очереди (число мест для ожидания, емкость магазина). Обозначается r = 0…∞. Если r=0 – система без ожидания, если r=∞ - неограниченная очередь. 5 разряд описывает приоритет заявок.
Надо знать характеристики входящего потока (заготовок, заявов), как описывается закон обслуживания заявок обработки детали – тогда есть много формул, по которым можно рассчитать какой накопитель взять, какое среднее время и разброс обработки, производительность, сколько времени затратится на ремонт, какое количество деталей в системе.
Основные элементы системы массового обслуживания
Типовые конфигурации систем массового обслуживания.
СМО – объект, в котором осуществляется последовательность элементарных операций
Станок – это обслуживающий прибор (на нем происходит обработка)
Реально операции могут выполняться лишь тогда, когда возникнет требование (заявка) на ее выполнение.
Типы СМО
1 – однолинейная система с ожиданием
Рисунок 2
1 – обслуживающий прибор (станок, робот)
Треугольник – накопитель, магазин, место для размещения заготовок перед обслуживающим прибором
Кружочек с о – источник требований к заявкам
а – поток требований от источника к накопителю
б – поток обслуживания заявок
описанная система массового обслуживания – это модель станка с магазином заготовок
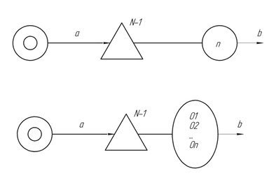
2 – система с ограниченной очередью или система с конечным накопителем. В системе одновременно могут находится не более N требований, включая одно требование в обработке. Емкость накопителя N-1. Если в накопителе уже находится N-1, то последующее требование покидает накопитель (ситуация С). Если требование переход когда накопитель занят, то эта деталь покидает систему необслуженной.
Рисунок 3
3 – система с потерями (отказами). В системе нет накопителя. Ожидание требований не допускается. Если прибор занят, то следующая заявка сразу покидает систему. Является частным случаем предыдущей системы при N = 1.
Рисунок 4
4 – Многолинейная система с общей очередью (общим накопителем) // где быстрей освободится – туда и поступает
Рисунок 5
5 – многолинейная система с потерями и ограниченной очередью
Рисунок 6
Марковские случайные процессы
Марков – русский ученый, математик
Аналогично закону нормального распределения
Рисунок 7
S – технологическая система – имеет неопределенное поведение
Аналитический учет неопределенности поведения технической системы часто бывает затруднен. Однако в некоторых случаях удается построить (создать) необходимую для расчета модель, если исследуемая операция поведения технической системы представляет собой марковский случайный процесс.
S – техническое устройство, состоящее из ряда узлов, которое время от времени выходит из строя и заменяется или восстанавливается.
Процесс изменения состояния S безусловно случаен
Интересно перейдет ли система в дальнейшем в другие состояния S1, S2. Состояния будут характеризоваться производительностью системы.
Случайный процесс, протекающий в системе называется марковским, если для любого момента времени to вероятностной характеристикой процесса в будущем зависит только от его состояния в данный момент времени to и не зависит от того когда и как система С пришла в это состояние (So). Нас интересует будущее системы при t больше to. Можем ли мы его предсказать? В точности – нет. Наш процесс случайны, а значит непредсказуемый. НО определенной вероятностной характеристикой процесса (системы) в будущем мы можем определить аналитически. Например, вероятность того, что через некоторое время
система S окажется в состоянии S1 или сохранится в S0, какова будет средняя производительность системы S с учетом ее возможных состояний S0, S1, S2… Sn.
Рисунок 8
So – все станки работают.
S1 – отказал один станок.
S7 – отказали все семь станков.
В исследовании случайных процессов (операций) широко используются марковские случайные процессы с дискретными состояниями So, S1, S2 и непрерывным временем.
Размеченные графосостояния системы – когда определены все параметры
и
.
Потоки событий
Потоком событий называют последовательность однородных событий, следующих одно за другим в какие-то случайные периоды времени.
В отмеченные времена происходит поступление заготовки на обработку
- случайные события (поломка инструмента)
Простейший поток событий (проще расчитывать) – должен обладать определенными свойствами.
Свойства простейшего потока:
-
Ординарность
Рисунок 9
-
Стационарность – его распределение параметров не зависит от времени
-
Отсутствие последействия – вляние каких-то факторов на поток
Регулярный поток – событие происходит через определенный промежуток времени.
Лекция 21
Потоки событий
Поток событий – последовательность событий, происходящих одно за другим в какие-то моменты времени.
Рисунок 1
Поток однородный – если происходят одни и те же события
Одна из разновидностей потока – регулярный поток. Расстояние между событиями строго постоянное. (но это бывает редко)
Типичным для систем массового обслуживания является случайный поток.
Простейший поток обладает тремя свойствами: ординарность, стационарность и отсутствие последействия. (Пуассоновский поток)
Рисунок 2
Внизу состояния системы, а вверху вероятность. Внутри интервала не работает (целочисленные значения)
а – положительная величина, которая называется параметром закона Пуассона
- математическое ожидание
- дисперсия
| Xm | 0 | 1 | 2 | … | m |
| Pm |
|
|
|
|
При суммировании, взаимном наложении большого числа ординарных (стационарных) потоков получается закон близкий к простейшему – пуассоновскому закону.
М / М / 1
1 – один обслуживающий прибор
М – входной поток заготовок
М – поток обслуживания
Рисунок 3
Теория массового обслуживания позволяет рассчитать практические любые интересующие вас характеристики работы автоматизированной станочной системы, если вы знаете характеристики входного потока заявок и характеристики потока обслуживания и характеристики обслуживающего прибора.
Можно рассчитать используя аппарат теории массового обслуживания: суммарная производительность системы, время нахождения детали на обработке, максимальная длина очереди перед обслуживающей системой, процент простоя (коэффициент использования системы)
Венцель. Теория вероятности.
Пример 1
Рисунок 4
ГПМ – станок и обслуживающий робот (возможны 4 состояния)
S0 – полностью исправная система
S1 – отказ станка
S2 – отказ робота
S3 – оба отказа
– Поток выхода из строя
– Поток восстановления
*
- время обслуживания
Рисунок 5
Правила составления алгебраических выражений *
Финальные вероятности – вероятности устойчивого состояния системы
Финальная вероятность данного состояния: слева
умножается на суммарную интенсивность всех потоков, ведущих из данного постояния, справа сумма произведений интерсивности всех потоков, входящих в нулевое состояние, умноженных на вероятности этих состояний.
Нормировочное условие:
















