ОТТД_Блажко (780311), страница 5
Текст из файла (страница 5)
Для данной курсовой работы будут полезные следующие возможности метода:
1) Метод позволяет провести анализ проблемы. При этом проблема решения представляется в виде главной цели, иерархически упорядоченных групп однотипных факторов, групп возможных решений и системы связи. Предполагается, что для всех перечисленных узлов проблемы указаны их взаимные связи друг с другом.
2) Метод позволяет произвести сбор данных по проблеме. В соответствии с результатами иерархической декомпозиции модель ситуации принятия решения имеет кластерную структуру. Разработанная в методе анализа иерархий процедура парных сравнений позволяет определить приоритеты объектов, входящих в каждый кластер. Таким образом сложная проблема разбивается на ряд более простых, решающихся для каждого из кластеров.
3) Метод позволяет оценить противоречивость данных и минимизировать ее. С этой целью в методе анализа иерархий разработаны процедуры согласования. В частности, имеется возможность определять наиболее противоречивые данные, что позволяет выявить наименее ясные участки проблемы и организовать более тщательное выборочное обдумывание проблемы.
4) Метод позволяет организовать обсуждение проблемы и способствует достижению консенсуса. Этот метод можно применить для определения важности учета мнения каждого участника обсуждения. Кроме того, метод позволяет оценить важность каждого фактора. Схема применения метода совершенно не зависит от сферы деятельности, в которой принимается решение. Поэтому метод является универсальным, что позволяет применить его к задаче данной курсовой работы. Декомпозируем задачу «Планирование и проведение эксперимента» на принципы моделирования, которые используются при ее решении. Номерами обозначены принципы:
1. системности
2. комплексности
3. системно-комплексный
4. целенаправленности
5. целостности
6. когерентности
7. ведущей компоненты
8. интраспективности
9. инвариантности
10. модульности
11. минимальности конструкции
12. максимального упрощения
13. адекватности
14. интерпретируемости
15. концептуальной структурности
16. развития
17. информационной прозрачности
18. информативности
19. управляемости
20. технологичности
21. редукции сложности
После иерархического воспроизведения проблемы необходимо установить приоритеты критериев и оценить каждую из альтернатив по критериям, выявив самую важную из них. В МАИ критерии сравниваются попарно по отношению к их воздействию на общую для них характеристику. Для этого воспользуемся отношениями, подходящими к нашей задаче, выбранные из перечня статических и динамических отношений, предложенного Д.А. Поспеловым в книге «Ситуационное управление. Теория и
практика»:
1. Быть средством (что, для чего) – инструментальное отношение; (Эти отношения отражают прагматический аспект деятельности. Самые важные из них — служить для- или быть средством для. Сюда же относятся отношения типа быть инструментом, быть вспомогательным средством, способствовать и т. п.)
2. Быть целью (что, для чего) – казуальное отношение; (Это отношения для отражения причинно-следственных связей, а также связей, отражающих цель, мотивацию, предпочтения при принятии решений и действиях)
3. Быть следующим (за чем, что) – порядковое отношение; (Они описывают соотнесенность элементов реального мира между собой. Они выражаются такими, например, словами, как следующий, ближайший» очередной и т. п.)
4. Быть источником информации (что, для чего) – информационное отношение. (Эта группа отношений описывает различные стороны передачи и получения информации, приказов, просьб и т. п.) Далее построим матрицы отношений, покажем их графическое представление и дадим объяснения отношений.
Двухфазные задачи
Двухфазные задачи являются комбинациями однофазных, поэтому получается, что всего таких задач получается 14. Эти задачи направлены на объект, на модель, на теорию и на эксперимент.
Выделим из диаграммы модельной деятельности двухфазные задачи:
1. Первая фаза ЭМ M (ЭМ См M Rм Эм Пм M)создание и познание модели.
-
Вторая фаза ЭМ Т (ЭМ Пт Т Rт Эм Ст Т) создание и познание теории.
-
Третья фаза ЭМ (ЭМ П R ЭМ С ) создание и познание объекта оригинала.
-
Четвертая фаза ЭМ Э (ЭМ Сэ Э Rэ ЭМ Пэ) создание и познание эксперимента.
Двухфазные задачи:
1. Создание модели и ее анализ
Вершинный маршрут: ЭМ → СМ → М → R → ЭМ→ АМ → М → R → ЭМ
Мы создаем модель и проводим ее анализ для получения знаний. Эксперт по моделированию создает действующую модель, а затем проверяет ее на предмет адекватности, а так же реакцию модели на внешние воздействия.
2. Анализ модели и ее совершенствование
Вершинный маршрут: ЭМ → АМ → М → R → ЭМ→ СМ → М → R → ЭМ
На основе анализа имеющейся модели можно создать новую модель или усовершенствовать имеющуюся. Возможен вариант когда созданная модель не адекватно описывает оригинал, поэтому возникает необходимость изучения модели с целью определения ошибки, а затем создание новой модели на основе имеющихся данных.
3. Анализ объекта-оригинала и создание модели
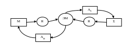
Вершинный маршрут: ЭМ → АΣ → Σ → R → ЭМ→ СМ → М → R → ЭМ
Для успешного моделирования сначала изучается объект-оригинал для получения необходимых знаний. Экспертом создается модель объекта, а затем эксперимент, позволяющий определить реакцию объекта на внешнее воздействие, это позволяет не разрушая объект оригинал изучать его.
4. Анализ модели для создания объекта
Вершинный маршрут: ЭМ → АМ → М → R → ЭМ→ СΣ → Σ → R → ЭМ
На основе изучения модели, ее свойств и характеристик можно создать новый объект. Эксперт может создать модель, а затем проанализировать полученную модель как эксперимент создания модели.
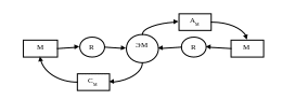
5. Сравнение полученной модели с объектом оригиналом
Вершинный маршрут: ЭМ → АМ → М → R → ЭМ→ АΣ → Σ → R → ЭМ
Сначала анализируется полученная модель. Затем, на основе анализа объекта-оригинала, происходит сравнение полученной модели с имеющимся объектом для выявления несоответствий. Не всегда модель может полностью заменить объект оригинал, поэтому может быть вариант когда параллельно создается модель и объект, а затем они используются для последующих исследований.
6. Сравнение объекта с моделью
Вершинный маршрут: ЭМ → СΣ → Σ → R → ЭМ→ СМ → М → R → ЭМ
Создается новый объект на основе имеющийся модели, который затем сравнивается посредством анализа модели с данной моделью для выявления несоответствий. Создав конкретную модель эксперт по моделированию может изучить объект моделирования с целью подтверждения информации, имевшейся у него на момент создания модели.
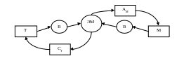
7. Создание новой теории
Вершинный маршрут: ЭМ → АМ → М → R → ЭМ→ СТ → Т → R → ЭМ
На основе анализа модели получаем новые знания, которые могут повлиять на разработку новой теории. При попытке теоретически объяснить новые явления возникает необходимость создания некоторой модели, поэтому для создания теории эксперт создает некоторую модель, а затем теорию.
8. Создание модели на основе теоретических знаний
Вершинный маршрут: ЭМ → АТ → Т → R → ЭМ→ СМ → М → R → ЭМ
На основе анализа имеющихся теоретических знаний создается модель. Наиболее эффективным способом обучения является познание теории на основе практики, то есть в данном случае создается реальная модель, а затем на основе опыта создания познается теория.
9. Проверка модели на соответствие новой теории
Вершинный маршрут: ЭМ → СТ → Т → R → ЭМ→ АМ → М → R → ЭМ
Если появляется новая теория, то можно проанализировать модель с точки зрения новых знаний. Изучив модель, на основе полученных данных эксперт создает эксперимент для продолжения изучения.
10. Проверка модели на соответствие теории
Вершинный маршрут: ЭМ → АТ → Т → R → ЭМ→ АМ → М → R → ЭМ
Анализируем теорию, на основе которой строилась модель, потом анализируем модель и сравниваем полученные результаты. Эксперт познает модель, а затем на основе имеющейся информации о модели познается конкретный эксперимент.
11. Построение модели на основе новой теории
Вершинный маршрут: ЭМ → СТ → Т → R → ЭМ→ АМ → М → R → ЭМ
Если получены новые знания, то можно создать новую модель. Когда создана модель не существующего в природе оригинала и эта модель испытана, то возникает необходимость создания объекта оригинала для использования его по назначению, поэтому эксперт по моделированию изучает модель, а затем на основе имеющейся информации строится оригинал.
12. Построение модели на основе эксперимента над объектом
Вершинный маршрут: ЭМ → СМ → Э → R → ЭМ→ СМ → М → R → ЭМ
Проводим эксперимент над объектом-оригиналом, затем, на основе полученных знаний, строим модель. Эксперт по моделированию изучает существующую модель, а так же соответствующий объект оригинал, полученная информация позволяет сравнить модель и объект.
13. Модернизация модели
Вершинный маршрут: ЭМ → СМ → Э → R → ЭМ→ СМ → М → R → ЭМ
Проводим эксперимент над моделью и вносим в данную модель коррективы или модернизируем ее. Изучив конкретную модель эксперт по моделированию может создать на основе имеющейся информации новую теорию, позволяющую по-новому структурировать данные, объяснить ранее необъяснимые явления и т.д.
14. Анализ модели на соответствие объекту-оригиналу на основе эксперимента
Вершинный маршрут: ЭМ → СМ → Э → R → ЭМ→ АМ → М → R → ЭМ
Проводится эксперимент над объектом-оригиналом, затем анализируется модель, и результаты сравниваются. Эксперт изучает модель получая некоторые данные, которые не всегда ему понятны, поэтому эксперт может обратиться к существующей теории с целью формирования знаний.
Применимость принципов для решения двухфазной задачи
Проверка модели на соответствие теории
Вершинный маршрут: ЭМ → АТ → Т → R → ЭМ→ АМ → М → R → ЭМ
Анализируем теорию, на основе которой строилась модель, потом анализируем модель и сравниваем полученные результаты. Эксперт познает модель, а затем на основе имеющейся информации о модели познается конкретный эксперимент.
Совместимость принципов можно проверить с помощью корреляционного анализа. Корреляционный анализ позволяет установить степени влияния факторов друг на друга и выявить неизвестные связи между факторами, оказывающие наибольшее влияние на изменение значений признака. Сначала необходимо определить пересечение множества принципов, применимых для обеих однофазных задач. Таким образом получаем следующие принципы, применимые для двухфазной задачи:
-
комплексность
-
системно-комплексный
-
целенаправленность
-
развитие
-
интроспективность
-
экстраспективность
-
инвариантность
-
информативность
-
системность
-
редукции сложности
Для количественной оценки тесноты связи между парами принципов воспользуемся коэффициентом корреляции:
















