108938 (765338), страница 4
Текст из файла (страница 4)
. (5.14)
Как видим в соотношении (5.14) имеется соотношение (5.5), которое представляет собой элементарный квант так называемого потенциального действия (не исключено, что 4p входит в состав этого кванта). Отметим, что ФВ потенциальное действие по размерности равна произведению силы на площадь и эта величина, похоже, является константой, общей и единой для любой электронной орбиты водородоподобного атома.
Из выражения (5.13) следует также постоянство произведения квадрата орбитальной скорости электрона на его орбитальный радиус. Это означает, что в потенциальном действии имеется (сопряженной или дополнительной к массе) еще одна сохраняющаяся ФВ, имеющая размерность L3T–2. Это соотношение характеризует вихреподобное строение электронных оболочек атома (если в нем есть движение, а оно есть). Отсюда следует, что третий закон Кеплера как бы соблюдается и в микромире.
Если рассмотреть более сложные уравнения, описывающие поведение электрона в составе водородоподобного атома с привлечением оператора квадрата момента импульса, например, уравнение (5.20) в учебнике [1], то с учетом выше изложенного, такие уравнения тоже можно попытаться упростить.
Итак, стационарное уравнение Шредингера в сферической системе координат (без привлечения обозначения оператора квадрата импульса) запишется в виде:
, (5.15)
где:
(5.16)
представляет собой радиальную часть, а
(5.17)
угловую часть оператора Лапласа, представляемого в полном виде так:
. (5.18)
С учетом (5.5) и других известных соотношений, выражение (5.15) преобразуемо к виду:
. (5.19)
В последнем выражении, кроме оператора Лапласа, представленного в сферических координатах, присутствуют: дебройлевская длина волны -
конкретного электрона, его комптоновская длина волны -
и расстояние от центра атома – r. Пси-функция в этом выражении будет зависеть как от радиуса, так и от угловых координат. Все возможные решения этого уравнения, по всей видимости, определимы и без привлечения так называемого оператора квадрата импульса, а исходя из более ясных представлений о дебройлевской длине волны электрона и целочисленной укладке половинок волн (включая моды) на различных электронных орбитах атома.
Системные соотношения потенциального действия, которые представлены на рис.4, скорее всего, подобны ранее рассмотренным системным соотношениям действия актуального. Из этого следует дополнительность друг другу и невозможность одновременного измерения в микромире следующие пар ФВ:
Действие актуальное – Скорость;
Энергия – Длина;
Сила – Площадь;
Натяжение – Пространственный объем;
Импульс – Вязкость кинематическая;
Вязкость динамическая – Поток объема;
Момент инерции – Ускорение.
Смысл некоторых из приведенных соотношений можно попытаться объяснить:
- ограничение на скорость перемещения автоматически означает и ограничение на минимальную величину кванта действия актуального. То есть, скорость света и постоянная Планка – взаимообусловленные ФВ;
- чем больше энергия микрочастицы, тем более компактно ее размещение в атоме или тем меньше ее собственный размер, если частица находится в свободном состоянии;
- чем меньший пространственный объем наблюдается, тем большие внутренние натяжения в нем обнаруживаются.
6. ИЗОЭНЕРГЕТИЧЕСКИЕ И ОЗОИМПУЛЬСНЫЕ ПОВЕРХНОСТИ АТОМОВ И МОЛЕКУЛ
В разделе 2 отмечалось наличие в уравнениях квантовой механики соотношения, характеризующегося отношением квадрата рационализированной постоянной Планка к удвоенному значению массы электрона. По размерности это отношение равно произведению энергии на площадь. В системе ФВ этой величине, а также величине, равной произведению импульса на площадь соответствующие места находятся (см. рис.3 – рис.6).
Попробуем разобраться, что могут означать эти величины и существуют ли они в действительности. Исследуем опять область микромира, поскольку в макромире такие величины, вроде бы, не встречаются.
В разделе 5 мы изучили ФВ микромира действие потенциальное, которая является сохраняющейся величиной для любой n – ой электронной орбиты водородоподобного атома. Определим на примере той же модели водородоподобного атома, что собой будет представлять ФВ, равная произведению энергии электрона, находящегося на n – ой орбите, на площадь сферы, имеющей радиус, равный радиусу этой электронной орбиты.
Необходимые расчетные формулы и результаты вычислений сведены в таблицу.
| Значение n | Энергия одного электрона
| Площадь сферы S =
| Произведение Е× S =
| Сравнение с результатом
|
| 1 |
| 4 |
| 2 |
| 2 |
| 64 | 4 | 8 |
| 3 |
| 324 | 9 | 18 |
| 4 |
| 1024 | 16 | 32 |
| 5 |
| 2500 | 25 | 50 |
Как видно из таблицы, ФВ, равная произведению энергии электрона на площадь сферы с радиусом, равным орбитальному радиусу электрона, имеет вполне ясный физический смысл. Эта величина определяет максимальное количество электронов, которые могут быть размещены на том или ином энергетическом уровне. Как известно это количество равно 2n2, где n – номер энергетического уровня электронной орбиты.
Однако от общепринятого представления об увеличении радиуса электронных орбит, соответствующих большим энергетическим уровням, скорее всего, надо отказаться. Из опытных данных известно, что размеры атомов не позволяют электронам находиться на столь отдаленных расстояниях от ядра.
На основе данных приводимой выше таблицы, можно сделать предположение, что константной величиной, единой для всех электронных энергетических уровней, является произведение энергии одного электрона на их максимальное число, соответствующее определенному энергетическому уровню. Таким образом, мы выходим на представление о существовании в каждом атоме одной или нескольких изоэнергетических поверхностей, которые следует отнести к наиболее сохраняющимся физическим величинам.
По всей видимости, эта новая не совсем привычная величина определяет те внешние пространственные поверхности атома или молекулы (не обязательно сферические по форме), на которых размещаются электроны всех или отдельных энергетических уровней. Тогда изоэнергетическая поверхность атома, если она одна (или, лучше сказать, едина) вероятнее всего должна выступать в роли константы, определяющей свои собственные соотношения неопределенностей, наподобие ранее рассмотренных. Часть системных соотношений, иллюстрирующих эту мысль, можно видеть на рис. 5.
Подобные поверхности в атомных структурах для электронов с минимальной энергией (при температуре, равной абсолютному нулю) предсказаны и рассматриваются в квантовой механике уже давно. Этот энергетический уровень назван уровнем Ферми, а сама поверхность - поверхностью Ферми.
Из экспериментов известно, что с увеличением количества электронов на внешней электронной оболочке происходит уменьшение ее площади (своеобразное сжатие), а с ростом порядковых номеров атомов наблюдается периодическое изменение их в размерах. При этом, судя по всему, произведение суммарной энергии электронов на площадь электронной оболочки, в определенных пределах, остается величиной сохраняющейся. Поэтому, вполне возможно, что изоэнергетическая поверхность является также и квантуемой величиной в обозначенном нами понимании.
Очень возможно, что так называемые электроны атома, с физической точки зрения, представляют собой своеобразные моды колебательных движений, существующие всего лишь на одной или нескольких (немногих) пузыреподобных изоэнергетических электронных оболочках атома. По-видимому, эти изоэнергетические электронные оболочки могут иметь многолепестковый вид или размещаться одна в другой - наподобие матрешек. Во всяком случае, компьютерные модели, основанные на решении уравнений Шредингера, дают примерно такие картины.
Аналогично изоэнергетическим поверхностным величинам в микромире вполне возможно существование и изоимпульсных поверхностных величин. По крайней мере, на возможность существования таких величин указывает система ФВ.
Теперь от представлений об изоэнергетических и изоимпульсных поверхностных величинах вернемся к более привычным ФВ, в том числе к волне де Бройля.
В квантовой механике используются представления об энергии Ферми, а также об импульсе, скорости и температуре Ферми. Однако совсем не употребляется термин “длина волны Ферми”. Хотя этот термин, по нашим представлениям, должен быть первичен среди других понятий. По сути, мы говорим о той же волне де Бройля.
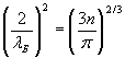
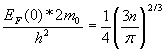
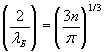
Энергия Ферми при абсолютном нуле температуры определяется известным выражением:
. (6.1)
Привычным способом преобразуем это выражение с выявлением длины волны де Бройля, соответствующей этой энергии:
. (6.2)
Если энергия Ферми представляет собой максимальную энергию электронов, то соответствующая этой энергии длина волны де Бройля (которую можно называть длиной волны Ферми), представляет собой минимально возможную из всех волн, присущих данной совокупности электронов. Эта минимальная длина волны (вернее ее половина) полностью определяется лишь объемной плотностью электронов.
Этот факт весьма примечательный – оказывается, минимальная длина волны не зависит ни от массы, ни от скорости, ни от чего-либо иного, кроме пространственной плотности ансамбля микрочастиц.
Хорошо, а что мы можем сказать о максимальной длине волны де Бройля? Распределение Ферми-Дирака обозначает наличие меньших и совсем малых, даже нулевого значения, энергии электронов. Такие же меньшие значения, по сравнению с импульсом Ферми, будут значения других импульсов и волновых векторов.
















