108938 (765338), страница 5
Текст из файла (страница 5)
Тогда, исходя из соотношения неопределенностей, можно говорить о возможности существования для электронной или иной совокупности микрочастиц, очень больших и даже бесконечно больших длин волн де Бройля. Применительно к электронному газу в проводниках это находит подтверждение практикой – когда маленькая антенна радиоприемника реагирует на длинные радиоволны километровой длины.
Однако с привычной точки зрения, как-то трудно воспринимается существование вокруг атомов или электронов стоячих волн больших размеров. Заметим, что для приема радиосигналов антенной используется не только пространственный (в полуволновом вибраторе), но и частотный (в LC – контуре) резонанс.
Обычно поверхность Ферми трактуется как граница, разделяющая электроны, находящиеся в вырожденном состоянии, и свободные электроны, приобретшие тепловую кинетическую энергию, превышающую уровень, называемый энергией Ферми.
Одновременно мы знаем, что свободными становятся внешние электроны атома, но более глубоко расположенные электроны атома, характеризуются еще большей кинетической энергией и, значит, еще меньшей длиной волны. Это означает, что привычное распределение Ферми-Дирака с энергией от нулевого значения до уровня Ферми соответствует лишь свободным электронам, не входящим в состав атомов. Это их скорости лежат в диапазоне от нулевой скорости до скорости Ферми. А электроны, входящие в состав атомов и подчиняющимися тому же распределению Ферми-Дирака, скорее всего, образуют свои внутриатомные изоэнергетические поверхности, расположенные внутри общей (для всех атомов) изоэнергетической поверхности Ферми.
Тогда поверхность Ферми, в традиционном ее понимании, это наименее энергоемкая (в удельном значении) поверхность, находящаяся внутри проводящего или полупроводящего материального образования. Другие изоэнергетические поверхности, располагаются внутри данной поверхности Ферми и они, в сравнении с ней, более энергоемки.
Может быть, свободные электроны, находящиеся внутри проводящих тел, следует воспринимать - как своеобразные колебания изоэнергетической поверхности Ферми. А связанные электроны, входящие в составе атомов и молекул, воспринимать в виде колебаний внутренних пузыреподобных изоэнергетических поверхностей. Указанные колебания не следует отождествлять с чисто механическими. Это могут быть особые параметрические колебания натяжения, плотности или иных параметров.
На рис.5 показаны некоторые очень интересные системные связи прогнозируемых в существовании изоэнергетических и изоимпульсных поверхностей с электромагнитными величинами. Эти системные связи способны помочь в уяснении физического смысла как новых, так и уже известных ФВ. Кроме того, вновь обнаруживаемые системные взаимосвязи ФВ представляют собой еще неизученные природные закономерности.
Общее примечание к дальнейшему изложению:
Далее необходимо обратить внимание обучающихся пользованию системой (и просто читателей) на то, что в системе по рис.5 (и рис.6) совершен отход от ранее применявшегося показа в ячейках с ФВ не размерности самих ФВ, а размерности системных элементов, имеющих строго упорядоченное расположение.
Конечно, строго упорядоченное расположение системных элементов удобно для общего восприятия, однако неоднозначность размерности этих элементов, зачастую вызывает смущение. Кто-то трудно идентифицирует привычные ФВ с непонятными системными элементами, а у кого-то, при взгляде на систему, просто возникает отторжение из-за необходимости вникать в что-то непривычное.
С целью возможного преодоления этих трудностей, система по рис.5 и рис.6 специально выполнена с использование различных систем размерности для системных элементов. Но в ячейках системы показывается не размерность элементов, а размерность ФВ в СИ. Сравнение этих двух вариантов и прошлых наших обозначений системных элементов позволяет лучше понять - как изменяются дополнительные размерностные коэффициенты в ячейках с ФВ, при изменении типа размерности системных элементов.
Например, сравнение LT- вариантов системы по рис.2-рис.4 и рис.6 (или MLT- вариантов по рис.1 и рис.5) позволяет понять достаточную условность и инвариантность представления дополнительных размерностных коэффициентов при ФВ. Во всех вариантах в системе действует правило выделенного параллелограмма, с помощью которого обнаруживаются системные (и закономерные) соотношения (между ФВ). Варианты по рис 1, рис.5 и рис.6 лучше тем, что дополнительные размерностные коэффициенты, стоящие при ФВ, помогают выявлению действительно закономерных взаимосвязей.
Следует отметить еще два преимущества представления системы по рис.5 и рис.6. Во-первых, данное представление системы постоянно иллюстрирует нам неуклюжесть и даже дикость размерностной системы СИ в части электромагнитных величин. Размерности полевых и структуро-средовые электромагнитные ФВ в системе СИ столь нелепы, что о выражении физической сущности этих ФВ их размерностью, не стоит даже и говорить.
Во вторых, данный вариант системы лучше подходит для электронного (компьютерного) представления. В электронном варианте легко решается вопрос показа многоуровневой системы ФВ. Кроме того, логика обнаружения системных (а значит и природных) закономерностей автоматически может заводиться в программу компьютера.
О возможности не только сознательного, но и автоматического поиска природных закономерностей, до появления подобной системы ФВ, можно было только мечтать.
7. О ФИЗИЧЕСКОЙ СУТИ ПОНЯТИЙ: ПОДВИЖНОСТЬ НОСИТЕЛЕЙ ТОКА И ПОСТОЯННАЯ ХОЛЛА
На рис.6 в системе физических величин показаны физические величины подвижность носителей тока и постоянная Холла, используемые при квантовом рассмотрении токовых явлений в физике твердого тела. Эти величины, с размерностной точки зрения, хотя и помещены на самостоятельные системные уровни, скорее всего, не являются самостоятельными ФВ. Подвижность - это величина, обратная индукции магнитного поля, а постоянная Холла – является величиной, обратной объемной плотности электрического заряда.
С физической сущностью постоянной Холла все вполне ясно. А вот уяснение обратно пропорциональной зависимости достаточно понятной величины подвижности носителей электрического тока и магнитной индукции не столь очевидно. Попробуем разобраться в этом.
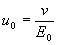
Подвижность электрических зарядов (u0) в проводниках и полупроводниках определяется как отношение скорости перемещения носителей зарядов (электронов и дырок) к напряженности E0 электрического поля, вызывающего их движение.
. (7.1)
Движение электрических зарядов (величиной q) в стороннем магнитном поле с индукцией В сопровождается действием на них известной силы Лоренца:
, (7.2)
где α – угол между направлениями скорости v и индукции В.
Произведение vB sin α в этом выражении представляет собой поперечную (к основному направлению движения зарядов) составляющую напряженности электрического поля (
), обеспечивающую как раз действие на заряды поперечной силы Лоренца.
Отношение поперечной скорости перемещения электрических зарядов к указанной поперечной напряженности электрического поля (
) будет определять ту же подвижность электрических зарядов, поскольку подвижности как поперечная, так и продольная, вроде бы, должны быть одинаковы.
Известно, что чем больше скорость движения электрического заряда, тем больше величина индукции магнитного поля, возникающего при движении этого заряда. В нашем случае: чем больше индукция В, тем больше сила Лоренца и тем большей должна быть поперечная скорость перемещения электрических зарядов. В этом случае большее значение имеется и у поперечной составляющей электрического поля.
Поперечная составляющая электрического поля вызывает появление поперечной составляющей скорости в движении электрического заряда. Указанное движение заряда в поперечном направлении в том же магнитном поле с индукцией В вызовет (по правилу левой руки) появление как бы вторичной силы Лоренца, действующей уже прямо против основного движения заряда под действием первичного поля Е0. Таким образом, магнитное поле, внешне созданное или от собственного тока, обязательно тормозит направленное перемещение и, соответственно, ограничивает подвижность носителей электрического тока.
Не случайно, что внутри сверхпроводников, имеющих по определению бесконечно большую подвижность носителей тока, магнитного поле обязательно выталкивается вовне. Как магнитное поле связано с проводимостью обычных проводников и подвижностью носителей тока в этих проводниках - требуется еще изучать.
По всей видимости, до прояснения этого вопроса, физическую величину подвижность электрических зарядов целесообразно применять и использовать, несмотря на совершенно одинокое ее расположение в системе физических величин.
8. О ФИЗИЧНОСТИ ПРЕДСТАВЛЕНИЯ ПЛОТНОСТИ РАСПРЕДЕЛЕНИЯ КВАНТОВЫХ СОСТОЯНИЙ
Устоявшиеся в квантовой механике представления о плотности распределения квантовых состояний в шестимерном фазовом пространстве с взаимно перпендикулярными осями x, y, z, px, py, pz, где полный объем состоит из произведения двух объемов - объема в пространстве координат и объема в пространстве импульсов, не очень-то понятны с физической точки зрения.
Попробуем внести ясность в эти представления на традиционном примере рассмотрения нерелятивистских электронов, находящихся в свободном состоянии.
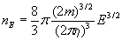
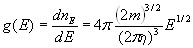
Плотность квантовых состояний по энергии (без учета дискретности ее уровней), для единичного объема, обычно записывается в виде:
. (8.1)
В этом выражении dnE трактуется как число состояний, приходящееся в единичном объеме на интервал энергии от Е до Е + dE ([2] стр.178).
Полное число состояний, различных по энергии и находящихся в единичном объеме, равно:
. (8.2)
Последнее уравнение можно преобразовать к более простому и понятному виду:
. (8.3)
Выражение (8.3) показывает нам число полуволн де Бройля, содержащихся в единичном объеме. Это число, конечно же, равно числу дискретных уровней энергии или дискретных частот, содержащихся в единичном объеме. Только выражение для них будет не столь прозрачным и ясным для понимания. Прояснению ситуации несколько помогает только размерность, принимающая всегда одно и то же значение, обратное пространственному объему.
Число полуволн в единичном объеме, приходящихся на единичный интервал длины волны, определяется дифференцированием выражения (8.3)
. (8.4)
Знак минус здесь показывает увеличение плотности размещения волн с уменьшением их длины.
Формулы (8.3) и (8.4) достаточно просты для запоминания. Кроме того, с их помощью легко выводятся формулы, определяющие плотности состояний, приходящиеся на единичное значение того или иного параметра.
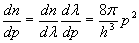
Для определения плотности распределений числа полуволн (частот, скоростей, импульсов и др.), приходящихся в единичном объеме на единичное значение соответствующей физической величины, требуется лишь знание взаимосвязи этих параметров с длиной волны и умение дифференцировать.
Таким путем легко выводятся следующие соотношения:
, (8.5)
, (8.6)
, (8.7)
Количество отдельных уровней энергии, импульса и частот, приходящихся на единичный объем, совпадает с подобным количеством для длин волн. Это значение, выраженное через соответствующие параметры, имеет различный вид, но всегда идентично числу для длин полуволн.
















