108938 (765338), страница 2
Текст из файла (страница 2)
Известна также и системно обнаруживается взаимосвязь кинетической энергии и импульса через массу микрочастицы (рассматриваем нерелятивистский случай):
. (2.4)
Далее можно идти чисто логическим путем.
Если волновая функция описывается синусоидой (или суммой синусоид), то первая производная этой функции будет косинус, который отстает по фазе от синусоиды на p /2.
Не принимая пока во внимание амплитудных и размерностных различий, мы можем установить фазовое равенство первой производной Ψ- функции по времени и ее самой, умножив эту первую производную на
и приписав противоположный знак одной из сравниваемых величин.
Теперь ликвидируем размерностные отличия. Поскольку Ψ- функция от своей первой производной по времени отличается на размерность времени, то для получения размерностного равенства умножим Ψ- функцию на отношение энергии и постоянной Планка, являющейся квантом действия актуального.
Таким образом, получаем примерное размерностное соотношение:
, (2.5)
в котором W – представляет собой полную энергию, а коэффициент пропорциональности n - безразмерная числовая величина. С учетом соотношения (2.4) выражение (2.5) можно переписать в виде
, (2.6)
где в скобках фигурирует сумма кинетической и потенциальной энергий, называемая функцией Гамильтона.
Из представленной на рисунках системы (или просто из размерностных соображений) можно определить, что в выражении (2.6) импульс p можно представить - как отношение актуального действия (постоянной Планка) к длине. Коэффициент n возможно изменится, что непринципиально, а длина в минус второй степени в дифференциальных уравнениях, описывающих динамические волновые процессы, обычно представлена второй производной по направлению в пространстве (D ). Таким образом, мы логически приходим к уравнению (2.1). При этом размерность самой Ψ- функции может быть любой.
В общем случае числовой коэффициент n имеет не единственное, а множество значений, определяющих амплитуды различных гармоник Ψ- функции. Эти значения устанавливаются решением дифференциального уравнения с учетом начальных условий.
Заметим, что отношение квадрата постоянной Планка к удвоенному значению массы, представляющее по размерности произведение энергии на площадь, присутствует в правой части уравнения (2.1) вполне логично. Системные соотношения этой ФВ рассмотрены в разделе 4. В атомной физике эта величина характеризует изоэнергетическую поверхность, называемую поверхностью Ферми.
Однако использование временного уравнения Шредингера в форме выражения (2.1) не всегда может быть оправданным. Дело в том, что постоянная Планка сама представляет собой соотношение энергии с частотой (а также произведение импульса на длину волны), поэтому ее использование в формулах одновременно с указанными величинами ведет, как правило, к сильному затуманиванию в этих формулах физической сути явлений.
Если разделить обе части уравнения (2.1) на
, то ситуация становится несколько яснее. Временное уравнение Шредингера принимает вид:
. (2.7)
Отношение потенциальной энергии U к постоянной Планка
есть частота, а отношение постоянной Планка
к массе, является физической величиной, называемой кинематической вязкостью (в термодинамике это коэффициент диффузии). Вот такие физические параметры, скорее всего, и определяют изменение пси-функции во времени.
Используя выражение (2.7) возможно осуществить простейший переход к волновому описанию стационарного состояния, что достигается приравниванием этого выражения нулю (поскольку изменения во времени принимаются отсутствующими). Сменив обозначение пси-функции на стационарное и сгруппировав одноименные величины, из (2.7) можно получить:
(2.8)
В сравнении с выражением (2.3), называемым уравнением Шредингера для стационарных состояний, здесь отсутствует (не учтена) только кинетическая энергия Е.
Если вышерассмотренным способом анализировать с самого начала выражение (2.3), то оно легко выводится из следующих логических соображений. Синусоидальная y - функция будет равна своей собственной второй пространственной производной с обратным знаком (без учета амплитудных различий), если ее умножить на квадрат отношения импульса к действию актуальному.
В действительности мы это и наблюдаем, если выражение (2.3) переписать несколько иначе:
. (2.9)
Подкоренное выражение в этой формуле представляет собой квадрат импульса, а общий коэффициент при втором члене слева (при ψ) представляет собой квадрат волнового вектора k, так что в итоге мы приходим к выводу о том, что уравнение Шредингера для стационарных состояний это обычное волновое уравнение гармонических стационарных колебаний:
. (2.10)
Если взять не вторую, как в выражении (2.10), а первую пространственную производную пси-функции, представленной в общем виде, и построить дифференциальное уравнение на сравнении этой производной с самой Ψ- функцией, то мы получим уравнение с известным в квантовой физике оператором проекции импульса (формула 3.61 учебника [1]):
. (2.11)
Из этого уравнения определяются возможные значения px. Запись последнего выражения становится более понятной с использование в уравнении волнового вектора
. (2.12)
Решением уравнения (2.12) является гармоническая функция вида
. (2.13)
Считается, что собственные значения оператора проекции импульса px образуют непрерывный спектр значений от -
до +
. Однако, при ограничении пси-функции по координате спектр значений волнового вектора обязательно становится дискретным. Причем получаемые дискретные значения будут целочисленно кратны основному значению, определяемому максимально возможной длиной волны (вернее
).
Исходя из представленных и ряда иных соображений, можно предположить, что используемые в квантовой механике так называемые операторы ФВ, по сути, есть искусственные образования. Они представляют собой комбинации ограниченного числа ФВ (действия актуального, энергии и импульса) с операторами дифференцирования, изымаемыми (совместно с указанными ФВ) из начальных дифференциальных уравнений, описывающих волновое представление микрочастиц.
В этой связи можно поставить под сомнение оправданность применения в квантовой механике операторов ФВ, как не имеющих физического смысла. Тем более что используются еще и операторы квадратов ФВ.
По крайней мере, с системных позиций никак не подтверждается постулат квантовой механики о том, что в ней каждой ФВ ставится в соответствие определенный оператор, а соотношения между операторами имеют ту же структуру, что и соотношения между ФВ. Построить или изобразить систему операторов ФВ, структура которой была бы подобна структуре размерностной системы самих ФВ (или имела хотя бы какой-то свой смысл), никак не получается.
Можно отметить, что применение операторного метода в квантовой механике, раз он так широко используется, видимо в какой-то мере и оправдано, например, при вычислении средних значений ФВ, хотя эти вычисления возможны и без операторов, а на основе объемной плотности распределений ФВ (раздел 8).
3. КВАНТОВОМЕХАНИЧЕСКИЕ ПОТЕНЦИАЛЬНЫЕ ЯМЫ, ПОРОГИ И БАРЬЕРЫ ДЛЯ МИКРОЧАСТИЦ
В учебниках по квантовой механике обычно принято рассматривать примеры, описывающие поведение микрочастиц, находящихся в энергетических ямах или проходящих над (или под) энергетическими барьерами и порогами. При описании этих явлений, как правило, используются достаточно громоздкие математические формулы, из-за которых теряется физический смысл явлений.
Как пояснялось ранее, волновое уравнение Шредингера для стационарных состояний можно записать в форме (2.10) или в виде:
. (3.1)
Решением (3.1) в общем виде является функция:
. (3.2)
Для одномерной потенциальной ямы шириной а с бесконечно высокими (непроницаемыми) стенками, при использовании граничных условий
и
, получаем В = 0. Тогда уравнение (3.2) преобразуется в
, (3.3)
которое для А ≠ 0 формально выполняется при
, n = 0,1,2,3,… (3.4)
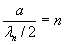
Последнее условие можно представить в виде
, n = 1,2,3,… (3.5)
где
- длина волны де Бройля с чертой (
).
Выражение (3.5) имеет физический смысл – это отношение ширины потенциальной ямы к модам длин стоячих волн де Бройля, способных к существованию в этой потенциальной яме и характеризующих микрочастицу, находящуюся в яме. Это выражение показывает, что в потенциальной яме с бесконечно высокими стенками присутствуют (отбираются или резонируют) лишь моды волны, с длиной волны целочисленно дольной основной длине волны
. Реально – половине этого значения.
Последнее выражение говорит о первоначальном квантовании в потенциальной яме длин волн или волновых векторов. Квантование уровней энергии для микрочастицы, находящейся в потенциальной яме, - это уже следствие отмеченного первоначального квантования дебройлевских длин волн.
Значит линейный или частотный спектр стоячих волн, описывающих состояние микрочастицы, находящейся в одномерной потенциальной яме с абсолютно непроницаемыми стенками, представляет собой основную длину волны (основную частоту) и бесконечно большой набор других волн, целочисленно дольных половине основной. Если же брать частоту волн де Бройля, то это основная частота и бесчисленное множество других частот, целочисленно кратных основной частоте.
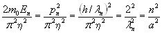
Известное выражение, определяющее дискретный спектр уровней энергии микрочастицы, находящейся в одномерной потенциальной яме с бесконечно высокими стенками
, n = 1, 2, 3, … (3.6)
для понимания, лучше преобразовать и представлять в виде:
, n = 1, 2, 3, … (3.7)
Еще более понятным будет представление этого выражение в виде:
, n = 1, 2, 3, … , (3.8)
откуда вытекает равенство
, n = 1, 2, 3, … , (3.9)
Последнее выражение показывает, что на ширине одномерной потенциальной ямы обязательно укладывается целое чисто дебройлевских полуволн (их гармоник), каждая из которых по частоте выше, а по длине волны меньше основной моды в целое число раз. В потенциальной яме с бесконечно высокими стенками число этих волн бесконечно большое множество. То есть, начиная с граничной частоты, имеется частотный спектр волн де Бройля. Этот спектр линейчатый и он расположен в сторону увеличения частоты до бесконечности.
Выше мы рассмотрели параметры микрочастицы, помещенной в одномерную потенциальную яму с непроницаемыми стенками. Теперь рассмотрим волновые и другие параметры для микрочастиц, находящихся в многомерных потенциальных ямах, а также в ямах, ограниченных по высоте.
















