166680 (740378)
Текст из файла
План
Введение
История
Физические свойства и нахождение в природе
Химические свойства
Способы получения одноосновных карбоновых кислот ароматического ряда
Нитробензойные кислоты
Применение
Заключение
Список литературы
Введение
Систематическое наименование бензойная кислота
Традиционные названия бензойная кислота
Химическая формула C6H5COOH
Молярная масса 122.12 г/моль
Физические свойства
Состояние (ст. усл.) твердая
Термические свойства
Температура плавления 122.4 °C
Температура кипения 249.2 °C
Температура разложения 370 °C
Удельная теплота парообразования 527 Дж/кг
Удельная теплота плавления 18 Дж/кг
Химические свойства
Растворимость в воде 0,001 г/100 мл
Ароматическими карбоновыми кислотами называются производные бензола, содержащие карбоксильные группы, непосредственно связанные с углеродными атомами бензольного ядра. Кислоты, содержащие карбоксильные группы в боковой цепи, рассматриваются как жирноароматические.
Ароматические кислоты могут быть разделены по количеству карбоксильных групп на одно-, двух- и более основные. Названия кислот, у которых карбоксильная группа непосредственно связана с ядром, производятся от ароматических углеводородов. Названия кислот с карбоксилом в боковой цепи производятся обычно от наименований соответствующих кислот жирного ряда. Наибольшее значение имеют кислоты первого типа: например, бензойная (бензолкарбоновая) С6Н5—СООН, п-толуиловая (п-толуолкарбоновая), фталевая (1,2-бензолдикарбоновая), изофталевая (1,3-бензолдикарбоновая), терефталевая (1,4-бензолдикарбоновая):
История
Впервые выделена возгонкой в 16 веке из бензойной смолы (росного ладана), отсюда и получила своё название. Этот процесс был описан у Нострадамуса (1556), а затем у Жироламо Рушелли (1560, под псевдонимом Alexius Pedemontanus) и у Blaise de Vigenère (1596).
В 1832 году немецкий химик Юстус фон Либих определил структуру бензойной кислоты. Он также исследовал, как она связана с гиппуровой кислотой.
В 1875 немецкий физиолог Эрнст Леопольд Зальковский исследовал противогрибковые свойства бензойной кислоты, которая долгое время использовалась в консервировании фруктов.
Сульфосалициловая кислота
2-Окси-5-сульфобензойная кислота
HO3S(HO)C6H3COOH ·2H2O M 254,22
Описание
Сульфосалициловая кислота представляет собой бесцветные полупрозрачные кристаллы игольчатой формы или белый кристаллический порошок.
Сульфосалициловая кислота легко растворима в воде, спирте и эфире, нерастворима в бензоле и хлороформе, светочувствительна. Водные растворы имеют кислую реакцию.
Применение
Сульфосалициловая кислота применяется в медицине для качественного определения белка в моче, при проведении аналитических работ для определения содержания нитратов в воде.
В промышленности сульфосалициловая кислота используется в качестве добавок к основному сырью, при синтезе веществ.
Физические свойства и нахождение в природе
Монокарбоновые кислоты ряда бензола — бесцветные кристаллические вещества с температурой плавления выше 100 °С. Кислоты с пара-положением заместителей плавятся при значительно более высоких температурах, чем их изомеры. Ароматические кислоты кипят при несколько более высоких и плавятся при значительно более высоких температурах, чем кислоты жирного ряда с тем же числом углеродных атомов. Монокарбоновые кислоты довольно плохо растворяются в холодной воде и значительно лучше в горячей. Низшие кислоты летучи с парами воды. В водных растворах монокарбоновые кислоты обнаруживают большую степень диссоциации, чем кислоты жирного ряда: константа диссоциации бензойной кислоты 6,6·10-5 , уксусной кислоты 1,8·10-5. При 370С она разлагается до бензола и СО2 (в небольшом количестве образуются фенол и СО). При взаимодействии с бензоилхлоридом при повышенных температурах бензойная кислота превращается в бензойный ангидрид. Бензойная кислота и ее эфиры содержатся в эфирных маслах (например, в гвоздичном, толуанском и перуанском бальзамах, бензойной смоле). Производное бензойной кислоты и глицина – гиппуровая кислота – продукт жизнедеятельности животных.Кристаллизуется в виде бесцветных пластинок или игл, плавящихся при 121 оС, легко растворимых в спирте и эфире, но трудно растворимых в воде. В настоящее время бензойная кислота довольно широко применяется в промышленности красителей. Бензойная кислота обладает антисентическими свойствами и поэтому используется для консервирования пищевых продуктов. Значительное применение находят также различные производные бензойной кислоты.
Химические свойства
Бензол был открыт Фарадеем в 1825 г. и была установлена его брутто-формула-С6Н6. В 1865 г. Кекуле предложил его структурную формулу как циклогексатриена-1,3,5. Этой формулой пользуются и в настоящее время, хотя она, как позднее будет показано, несовершенна - не отвечает полностью свойствам бензола.
Наиболее характерной особенностью химического поведения бензола является удивительная инертность двойных углерод-углеродных связей в его молекуле: в отличие от рассмотренных; ранее непредельных соединений он устойчив к действию окислителей (например, перманганата калия в кислой и щелочной среде, хромового ангидрида в уксусной кислоте) и не вступает в обычные реакции электрофильного присоединения, характерные для алкенов, алкадиенов и алкинов.
Пытаясь объяснить свойства бензола особенностями строения, многие ученые вслед за Кекуле выдвигали по этому поводу свои гипотезы. Поскольку непредельность бензола явно не проявлялась, считали, что двойных связей в молекуле бензола нет. Так, Армстронг и Байер, а также Клаус предположили, что в молекуле бензола четвертые валентности всех шести атомов углерода направлены к центру и насыщают друг друга, Ладенбург - что углеродный скелет бензола представляет собой призму, Чичибабин - что в бензоле углерод трехвалентен.
Тиле, усовершенствуя формулу Кекуле, утверждал, что двойные связи в последнем не фиксированы, а постоянно перемещаются-«осциллируют», а Дьюар и Хюккель предложили структурные формулы бензола с двойными связями и малыми циклами.
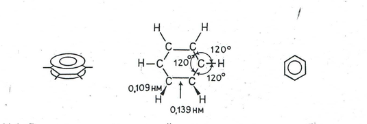
В настоящее время на основании данных многочисленных исследований можно считать твердо установленным, что шесть углеродных и шесть водородных атомов в молекуле бензола находятся в одной плоскости и что облака π-электронов атомов углерода перпендикулярны плоскости молекулы и, следовательно, параллельны друг другу и взаимодействуют между собой. Облако каждого π-электрона перекрывается облаками π-электронов соседних углеродных атомов. Реальная молекула бензола с равномерным распределением π-электронной плотности по всему кольцу может быть представлена в виде плоского шестиугольника, лежащего между двумя торами.
Отсюда следует, что формулу бензола логично изображать в виде правильного шестиугольника с кольцом внутри, подчеркивая тем самым полную делокализованность π-электронов в бензольном кольце и равноценность всех углерод-углеродных связей в нем. Справедливость последнего заключения подтверждена, в частности, результатами измерения длин С—С-связей в молекуле бензола; они одинаковы и равны 0,139 нм (С—С-связи в бензольном кольце короче ординарных (3,154 нм), но длиннее двойных (0,132 нм)). Распределение электронной плотности в молекуле бензола; длины связей, валентные углы
Очень важным производным бензойной кислоты является ее хлорангидрид — хлористый бензоил. Это жидкость с характерным запахом и сильным лакриматорным действием. Используется как бензоилирующий агент.
Пероксид бензоила используется как инициатор для реакций полимеризации, а также как отбеливающий агент для пищевых масел, жиров, муки.
Толуиловые кислоты. Метилбензойные кислоты называют толуиловыми кислотами. Они образуются при частичном окислении о-, м- и п-ксилолов. NN-Диэтил-м-толуилмид является эффективным репеллентом — препаратом, отпугивающим насекомых:
п-трет-Бутилбензойную кислоту получают в промышленных масштабах жидкофазным окислением трет-бутилтолуола в присутствии растворимой соли кобальта в качестве катализатора. Применяется в производстве полиэфирных смол.
Фенилуксусную кислоту получают из хлористого бензила через нитрил или через магнийорганические соединения. Это кристаллическое вещество с т. пл. 76 °С. Благодаря подвижности подородных атомов метиловой группы легко вступает в реакции конденсации. Эта кислота и ее эфиры применяются в парфюмерии.
Ароматические кислоты вступают во все те реакции, которые свойственны и кислотам жирного ряда. Реакциями с участием карбоксильной группы получают различные производные кислот. Соли получают действием кислот на карбонаты или щелочи. Эфиры — нагреванием смеси кислоты и спирта в присутствии минеральной (обычно серной) кислоты:
Если заместителей в орто-положении нет, то этерификация карбоксильной группы происходит так же легко, как в случае алифатических кислот. Если одно из орто-положений замещено, скорость этерификации сильно уменьшается, а если оба орто-положения заняты, этерификация обычно не идет (пространственные затруднения).
Эфиры орто-замещенных бензойных кислот могут быть получены реакцией солей серебра с галогеналкилами (эфиры пространственно затрудненных ароматических кислот легко и количественно омыляются в присутствии краун-эфиров). Вследствие пространственных затруднений они с трудом подвергаются гидролизу. Группы большие, чем водород, в такой степени заполняют пространство вокруг углеродного атома карбоксильной группы, что затрудняют образование и омыление эфира.
Получение С6Н5СООН:
Основные способы:
1. Путем окисления самых различных производных бензола, имеющих одну боковую цепь, например, толуола, этилбензола, бензилового спирта и т.д.: С6Н5СН3 ® С6Н5СООН
2. Из бензонитрила, который для этого гидролизуют кислотой или щелочью: 2Н2 О С6Н5СN ¾¾® С6Н5СООН + NH3
Бензойная (или росноладанная), Acidum benzoicum sublimatum, Flores Benzoës — весьма распространенное в природе вещество состава С7Н6О2, или С6Н5—СООН; содержится в некоторых смолах, бальзамах, в травянистых частях и в корнях многих растений (согласно прежним, до сих пор не проверенным наблюдениям), а также в цветах Unona odoratissima (в эссенции алан-жилан, или иланг-иланг), в бобровой струе, а главным образом в бензойной смоле, или росном ладане, откуда и ее название. О продуктах сухой перегонки этой смолы есть указания еще в сочинениях, относящихся к XVI ст.; Blaise de Vigenère в своем трактате (1608 г.) "Traité du feu et du sel" первый упоминает о кристаллическом веществе из бензойной смолы, которое впоследствии было исследовано ближе и получило название Flores benzoës. Состав его окончательно установлен Либихом в 1832 г., а Кольбе предложил рассматривать его как фенилкарбоновую кислоту. Б. кислота может быть получена из бензола синтетически и образуется при многих реакциях, совершающихся с телами ароматического ряда. Для фармацевтических надобностей пользуются исключительно кислотой, добытой посредством возгонки бензойной смолы. Лучше всего для этой цели брать сиамский росной ладан, так как в нем нет коричной кислоты, или калькуттский, более дешевый и также содержащий много Б. кислоты. Измельченную смолу слегка подогревают на песчаной бане в железных котелках, при чем масса сначала плавится, а затем выделяет тяжелые пары Б. кислоты, которые садятся на холодных частях прибора в виде кристаллов. Чтобы собрать вещество, котелок прикрывают бумажным конусом или крышкой с широкой трубкой, по которой пары отводят в деревянный ящик, оклеенный бумагой. По окончании операции (причем следует по возможности избегать сильного подогревания) кислота остается в приемнике или на бумажном конусе в виде снежно-белых кристаллов или хлопьев. Полученный этим путем препарат имеет явственный запах ванили, что зависит от содержания в смоле небольшого количества эфирного масла. Лучших выходов можно достигнуть, настаивая продолжительное время тонкоизмельченную смолу с известковым молоком или содой. Смесь затем нагревают до плавления смолы, и из образующейся бензойнокислой соли выделяют вещество соляной кислотой. Полученная таким способом кислота имеет более слабый запах, чем та, которая получается возгонкой. Для технических целей как исходный материал берут гиппуровую кислоту (см. это сл.), содержащуюся в моче травоядных. Мочу быстро выпаривают до ⅓ первоначального объема, фильтруют и обрабатывают избытком соляной кислоты, причем гиппуровая кислота выделяется в кристаллическом виде. По прошествии суток кристаллы отделяют от маточного раствора и очищают повторной кристаллизацией, пока почти вовсе не исчезнет упорно удерживающийся запах мочи. Очищенную гиппуровую кислоту кипятят с соляной кислотой, при чем происходит расщепление на Б. кислоту и гликокол:
HOOC—CH2[NH(C7H5O)] + H2O = HOOC—CH2(NH2) + C6H5—COOH.
В больших количествах Б. кислоту можно получать из толуола С6Н5—СН3, окисляя его азотной кислотой; но выгоднее (как и практикуется на заводах) брать для этой цели не толуол, а хлористый бензенил С6Н5CCl3; этот последний нагревают с водой в герметически закрытых сосудах; образующаяся таким путем кислота упорно удерживает галоидозамещенные продукты. Далее, Б. кислоту получают нагреванием известковой соли фталевой кислоты с едкой известью; наконец, значительные количества ее остаются в виде побочного продукта при фабрикации масла горьких миндалей вследствие окисления последнего. Добытую тем или другим путем Б. кислоту очищают перекристаллизацией из горячей воды; обесцвечивание растворов производится посредством обработки животным углем или нагреванием со слабой азотной кислотой. Синтетически бензойную кислоту получил Кекуле, действуя угольной кислотой на бромбензол в присутствии металлического натрия:
C6H5Br + 2Na + CO2 = C6H5CO2Na + NaBr.
Фридель и Крафтс приготовили ее прямо из бензола и угольной кислоты в присутствии хлористого алюминия. Чистая Б. кислота представляет бесцветные одноклиномерные иглы или таблички, уд. веса 1,2 (при 21°), не изменяющиеся на свету, тогда как полученная сублимацией из росного ладана желтеет спустя некоторое время вследствие разложения содержащегося в ней эфирного масла. Вещество плавится при 121,°4 Ц., кипит при 249°,2 без разложения и возгоняется ниже температуры кипения; не имеет запаха. Пары его действуют раздражающим образом на слизистые оболочки дыхательных органов. С парами воды кислота летит уже ниже 100°, а потому водные растворы ее нельзя сгущать посредством выпаривания. 1000 ч. воды растворяют при 0° 1,7 вес. ч., а при 100° 58,75 ч. Б. кислоты. Так же хорошо растворима она в алкоголе, эфире, хлороформе, эфирных и жирных маслах. Некоторые примеси, даже в очень незначительных количествах, настолько резко изменяют ее физические свойства, что одно время признавали существование изомерной Б. кислоты и называли ее салиловой кислотой, но оба вещества оказались вполне тождественными (Бейльштейн). При пропускании паров через сильно нагретую пемзу или, лучше, при сухой перегонке с едким баритом или гашеной известью Б. кислота распадается на бензол и углекислый газ. При сплавлении с едким кали получаются наряду с другими продуктами все три оксибензойные кислоты; окислители действуют на нее довольно трудно. С амальгамой натрия образуются: бензойный альдегид, бензильный алкоголь и другие продукты сложного состава. Хлор и бром, а также иод в присутствии иодноватой кислоты действуют замещающим образом; дымящаяся азотная кислота дает нитробензойные, а дымящаяся серная — сульфобензойные кислоты. Вообще, водороды фенильной группы в Б. кислоте один за другим могут быть замещены различными остатками, причем образуется громадное число разнообразнейших соединений, из которых для многих известно по нескольку изомерных форм. Из производных Б. кислоты, образующихся через замещение в карбоксильной группе, простейшие будут следующие:
Характеристики
Тип файла документ
Документы такого типа открываются такими программами, как Microsoft Office Word на компьютерах Windows, Apple Pages на компьютерах Mac, Open Office - бесплатная альтернатива на различных платформах, в том числе Linux. Наиболее простым и современным решением будут Google документы, так как открываются онлайн без скачивания прямо в браузере на любой платформе. Существуют российские качественные аналоги, например от Яндекса.
Будьте внимательны на мобильных устройствах, так как там используются упрощённый функционал даже в официальном приложении от Microsoft, поэтому для просмотра скачивайте PDF-версию. А если нужно редактировать файл, то используйте оригинальный файл.
Файлы такого типа обычно разбиты на страницы, а текст может быть форматированным (жирный, курсив, выбор шрифта, таблицы и т.п.), а также в него можно добавлять изображения. Формат идеально подходит для рефератов, докладов и РПЗ курсовых проектов, которые необходимо распечатать. Кстати перед печатью также сохраняйте файл в PDF, так как принтер может начудить со шрифтами.
















