166680 (740378), страница 2
Текст из файла (страница 2)
Хлористый бензоил, хлорангидрид Б. кислоты, C6H5—COCl получен впервые Либихом и Вёлером в 1832 г. при обработке сухим хлором масла горьких миндалей; он образуется также при действии пятихлористого или треххлористого фосфора на бензойную кислоту или хлорокиси фосфора на бензойнонатровую соль. Бесцветная жидкость с резким запахом, уд. веса 1,324 (при 0°), кипящая при 198°; затвердевает в охладительной смеси в кристаллы (плав. при —1°). Горячей водой быстро разлагается на соляную и Б. кислоты; легко вступает в двойные разложения с целым рядом веществ; так, при действии аммиака Либих и Вёлер получили из него бензамид, или амид Б. кислоты, C6H5—CONH2, кристаллическое вещество, плавящееся при 128°, уд. веса 1,341 (при 4°), растворимое в горячей воде, алкоголе и эфире. Бензамид получается также при нагревании Б. кислоты с роданистым аммонием. Водоотнимающие вещества с легкостью переводят его в нитрил Б. кислоты, бензонитрил или цианистый фенил — C6H5CN. Этот последний получается также из калийной соли сульфобензойной кислоты и цианистого калия. Вещество представляет жидкость с горькоминдальным запахом, кипящую при 190°, уд. веса 1,023 (при 0°), застывающую при сильном охлаждении в твердую массу. Трудно растворим в кипящей воде и легко в спирте и эфире.
Способы получения одноосновных карбоновых кислот ароматического ряда
Одноосновные карбоновые кислоты ароматического ряда могут быть получены всеми общими способами, известными для кислот жирного ряда.
Окисление алкильных групп гомологов бензола. Это один из наиболее часто применяемых способов получения ароматических кислот:
Окисление проводят либо при кипячении углеводорода с щелочным раствором перманганата калия, либо при нагревании в запаянных трубках с разбавленной азотной кислотой. Как правило, этот метод дает хорошие результаты. Осложнения бывают только в тех случаях, когда при действии окислителей разрушается бензольное кольцо.
Окисление ароматических кетонов. Ароматические кетоны легко получаются реакцией Фриделя — Крафтса. Окисление обычно ведут с помощью гипохлоритов по схеме:
Однако могут быть использованы и другие окислители. Ацетопроизводные окисляются легче, чем углеводороды.
Гидролиз тригалогенопроизводных с галогенами у одного углеродного атома. При хлорировании толуола образуется три вида хлоропроизводных: хлористый бензил (идет для получения бензилового спирта), хлористый бензилиден (для получения бензойного альдегида), бензотрихлорид (перерабатывается в бензойную кислоту и в хлористый бензоил). Непосредственный гидролиз бензотрихлорида идет плохо. Поэтому бензотрихлорид нагреванием с бензойной кислотой превращают в хлористый бензоил, который далее при гидролизе легко дает бензойную кислоту:
Гидролиз нитрилов:
Этот способ широко применяется в жирном ряду. В ароматическом ряду исходные нитрилы получают из диазосоединений, из галогенопроизводных обменом с цианидом меди в пиридине или сплавлением сульфонатов с цианидом калия. Нитрилы кислот с нитрильной группой в боковой цепи получают обменной реакцией из галогенопроизводных.
Реакция ароматических углеводородов с галогенопроизводными угольной кислоты
Карбоксильную группу можно ввести в ядро посредством реакции, аналогичной синтезу кетонов по Фриделю — Крафтсу. Катализатором служит хлорид алюминия:
Реакции металлорганических соединений с СО2:
Обычно используются литий- или магнийорганические соединения.
Хлорангидриды получают действием на кислоты хлористого тионила или пентахлорида фосфора:
Ангидриды получают перегонкой смеси кислоты с уксусным ангидридом в присутствии фосфорной кислоты или действием хлорангидридов на соли:
При действии хлористого бензоила на пероксид натрия получается кристаллический пероксид бензоила:
При действии алкоголята на пероксид бензоила получается соль надбензойной кислоты (гидропероксид бензоила). Эта кислота применяется для получения оксидов из непредельных соединений (реакция Прилежаева):
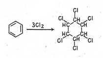
Бензол в отсутствие катализатора не реагирует с бромом и хлором, демонстрируя тем самым устойчивость трех двойных связей в его молекуле к действию электрофильных агентов. В то же время наличие последних подтверждается взаимодействием бензола с хлором при облучении, приводящим к образованию гексахлорциклогексана (гексахлоран):
Интересная реакция с участием двойных связей наблюдается при облучении бензола в жидкой фазе светом с длиной волны 253,7 нм. В этих условиях молекула бензола перестраивается, превращаясь в так называемые валентные изомеры.
Нитробензойные кислоты
При нитровании бензойной кислоты получается 78%-мета-, 20% орто- и 2% пара-нитробензойных кислот. Два последних изомера без примесей других изомеров получают окислением орто- и пара- нитротолуолов.
Нитробензойные кислоты обладают более сильными кислотными свойствами, чем бензойная кислота (К = 6,6·10-5): о-изомер — в 100 раз, м-изомер — в 4,7 раза и п-изомер — в 5,6 раза. Аналогичная закономерность наблюдается и в случае галогенозамещенных кислот.
Применение
Бензойная кислота и ее соли обладают высокой бактерицидной и бактериостатической активностью, резко возрастающей с уменьшением рН среды. Благодаря этим свойствам, а также нетоксичности бензойную кислоту применяют:
консервант в пищевой промышленности (добавка 0,1% кислоты к соусам, рассолам, фруктовым сокам, джемам, мясному фаршу и др.)
в медицине при кожных заболеваниях как наружное антисептическое (противомикробное) и фунгицидное (противогрибковое) средства, а её натриевую соль – как отхаркивающее средство.
Кроме того, бензойную кислоту и её соли используют при консервировании пищевых продуктов (пищевые добавки E210, E211, E212, E213). Эфиры бензойной кислоты (от метилового до амилового), обладающие сильным запахом, применяют в парфюмерной промышленности. Различные производные бензойной кислоты, например хлор- и нитробензойные кислоты, широко применяют для синтеза красителей.
Бензойную кислоту используют в производстве
фенола
капролактама
бензоилхлорида
добавка к алкидным лакам, улучшающая блеск, адгезию, твердость и химическую стойкость покрытия
Большое практическое значение имеют соли и эфиры бензойной кислоты (бензоаты).
Бензоат натрия консервант пищевых продуктов, стабилизатор полимеров, ингибитор коррозии в теплообменниках, отхаркивающее средство в медицине.
Бензоат аммония – антисептик, консервант в пищевой промышленности, ингибитор коррозии, стабилизатор в производстве латексов и клеев.
Бензоаты переходных металлов – катализаторы жидкофазного окисления алкилароматических углеводородов в бензойную кислоту.
Сложные эфиры бензойной кислоты от метилового до изоамилового – душистые вещества. Метилбензоат – растворитель эфиров целлюлозы.
Изоамилбензоат – компонент фруктовых эссенций.
Бензилбензоат – фиксатор запаха в парфюмерии, растворитель душистых веществ, антисептик, репеллент от моли.
Меры предосторожности:
При попадании на кожу вызывает раздражения.
Вдыхание аэрозоля вызывает судорожный кашель, насморк, иногда тошноту и рвоту.
Заключение
Латинское название: Acidum benzoicum
Бензойная кислота C6H5СООН – простейшая одноосновная карбоновая кислота ароматического ряда.
Бензойная кислота – бесцветные кристаллы, плохо растворимые в воде, хорошо – в этаноле и диэтиловом эфире.
Используется в основном в виде натриевых (большая растворимость в воде)- Бензонат натрия, калиевых и кальциевых солей.
Температура плавления - 122.4°С,
Температура кипения - 249°С.
Легко возгоняется(один из способов получения- сухая перегонка смолы бензоина); перегоняется с водяным паром.
Бензойную кислоту (Б.к) применяют в медицине при кожных заболеваниях как наружное антисептическое (противомикробное) и фунгицидное (противогрибковое) средства, а её натриевую соль – как отхаркивающее средство.
Б. к. и ее соли обладают высокой бактерицидной и бактериостатической активностью, резко возрастающей с уменьшением рН среды.
Возможна реакция с некоторыми формами аскорбиновой кислоты (витамина С).
В организме бензойная кислота соединяется с глицином, образуя безвредную гиппуровую кислоту, которая выводится с мочой.
Допустимая доза бензойной кислоты и ее соли для человека - 5 мг/кг веса тела в день.
Концентрация рецептах: 0,2-0,5 % (на 50 г крема - 0,2 г бензоата натрия).
Активность бензойной кислоты падает в присутствии неионных ПАВ, белков и глицерина.
Используется совместно с другими консервантами.
Будучи растворима в жирах, она может применяться как консервант жиров, губных помад и т.д. Максимальная концентрация в косметических изделиях составляет 0,5 %.
Соли бензойной кислоты – бензоаты (например, бензноат натрия) тоже используются как консерванты.
Другое применение: Эфиры бензойной кислоты, обладающие сильным запахом, применяют в парфюмерной промышленности.
Различные производные бензойной кислоты, например хлор- и нитробензойные кислоты, широко применяют для синтеза красителей.
Б. к. и ее эфиры содержатся в эфирных маслах (например, в гвоздичном), толуанском и перуанском бальзамах, бензойной смоле(до 20% кислоты и до 40% ее сложных эфиров).
Дополнительная информация:
На практике чаще всего используют водные растворы бензоата натрия с концентрацией от 5 до 25%.
Для приготовления раствора нужное количество консерванта растворяют приблизительно в половине требуемого объема питьевой воды, нагретой до 50…80С. После полного растворения соли в полученный раствор добавляют оставшуюся воду и тщательно перемешивают. Рекомендуется отфильтровать раствор через слой хлопчатобумажной ткани (бязи). Если консервант растворен в жесткой воде, то раствор может быть слегка мутным, но это не влияет на его консервирующее действие.
При разработке конкретной рецептуры внесения консерванта в продукт необходимо учитывать следующее:
кислотность среды влияет на эффективность консервантов - чем более кислую реакцию имеет продукт, тем меньше в него требуется добавить консерванта;
как правило, продукты пониженной калорийности имеют высокое содержание воды и легко подвергаются порче, поэтому количество добавляемого к ним консерванта должно быть на 30-40% больше, чем рекомендуется для обычных продуктов;
добавка спирта, большого количества сахара или другого вещества, проявляющего консервирующие свойства, снижает требуемое количество консерванта.
Литература
1 Земцова М.Н. Методические указания к выполнению курсовой работы по органической химии.
2. Химические реактивы и препараты Госхимиздат 1953, Стр. 241-242.
3. Карякин Ю.В., Ангелов И.И. Чистые химические вещества Изд. 4-е, пер. и доп. М.: Химия 1974, Стр. 121-122.
4. «Краткая химическая энциклопедия» Изд. Советская энциклопедия, Т.4 М. 1965 Стр. 817-826.
5. Петров А.А., Бальян Х.В., Трощенко А.Т. Органическая химия: Учебник для вузов. – СПб: «Иван Фёдоров», 2002, Стр. 421-427.
6. Гитис С.С., Глаз А.И., Иванов А.В.Практикум по органической химии: -М.: Высш шк., 1991. - 303.: ил.
7. Шабаров Ю.С. Органическая химия: Учебник для вузов в 2-х кн. – М.: Химия, 1996.Стр. 558-561, 626-629.















