146143 (729255), страница 7
Текст из файла (страница 7)
2. Реакции групп —С—О. в цепях со структурой I, 2б:
3. Группы —С—О. в структурах, возникших по реакциям I, За и I, 3б, действуют как одиночные группы —С—О. .Итак, гидроксильные группы появляются в цепи по реакциям II, 1а и II, 1б. Группы С=0 образуются по реакциям II, 1б и II, 2, двойные связи—по реакции II, 2, ацетальдегид и формальдегид—по реакциям II, 1б. Снижение молекулярного веса полипропилена вызывают реакции II, 1б и II, 2. Вода образуется при бимолекулярном распаде гидроперекисей.
Ингибиторы цепной реакции окисления
Ингибиторы разветвленной цепной реакции окисления углеводородов можно разделить на три класса:
1. Вещества, вступающие в реакцию с радикалами с образованием малоактивных продуктов.
2. Вещества, вступающие в реакцию с гидроперекисями с образованием неактивных продуктов.
3. Вещества, поглощающие ультрафиолетовые лучи и препятствующие тем самым разрыву связей в молекуле углеводорода .
Вещества , реагирующие с радикалами с образованием малоактивных продуктов
К наиболее распространенным ингибиторам этого класса относятся замещенные фенолы и ароматические амины. В результате исследования механизма ингибирования цепной реакции окисления различных углеводородов выделены два типа ингибиторов:
а) взаимодействующие с радикалом с отдачей водорода
причем образуются гидроперекись и малоактивный радикал;
б) ингибиторы, ароматические кольца которых образуют с радикалом комплекс и тем самым стабилизируют его . Этот механизм действия ингибиторов до сих пор еще не был достаточно хорошо, изучен.
Реакция по механизму а) предполагает легкий отрыв водорода от молекулы ингибитора. Исходя из этого можно сделать некоторые предположения о структуре веществ, которые могут использоваться в качестве ингибиторов.
1. Водород легко отрывается в том случае, если оставшийся неспаренный электрон имеет возможность сопряжения с более обширной п-электронной системой в молекуле. Чем больше энергия сопряжения, тем меньше прочность связи водорода в молекуле. Это наиболее характерно для ароматических соединений.
2. Как правило, водород отрывается от группы ОН или NH гомолитически (по указанным выше схемам реакций). В этих связях электроны смещены к атомам азота и кислорода. Поэтому каждый заместитель, который увеличивает плотность электронов реакционной группы, облегчает непарный разрыв связи NH или ОН.
Стабилизаторы полипропилена
Согласно опубликованным патентам и литературным данным, в качестве стабилизаторов .полипропилена могут быть рекомендованы следующие вещества.
Термоокислительные стабилизаторы
Замещенные фенолы:
монофенолы
R, R', R" — алкилы;
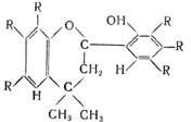
алкилиден-бис-алкилфенолы
R, R'—H или алкилы; R’’—алкилы; n = 0 - 2;
трифенолы и полифенолы ;
аминофенолы .
Замещенные оксихроманы
R — алкилы.
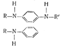
Ароматические амины
R, R'—фенил, циклогексил, нафтил, алкил,
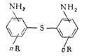
Серусодержащие соединения алкилзамещенные диоксидифенилсульфиды
R — алкилы; n = 0 - 2;
алкилзамещенные диаминодифенилсульфиды
R—алкилы; n = 0 - 2;
диалкилсульфиды
сложные эфиры , ‘ -дитиодипропионовой кислоты
R — алкил, арил, циклогексил;
вещества общей формулы
R, R'—алкил; R"- H, фенил, замещенный фенил, циклогексил;
производные трициана ;
сера, селен, теллур .
Соединения трехвалентного фосфора
R—алкил, замещенный арил ;
R—алкил, замещенный арил; n = 0 - 2.
ПРИМЕНЕНИЕ ПОЛИПРОПИЛЕНА
Полипропилен как констукционный материал
Производится очень много сортов полипропилена с разнообразными свойствами . Практически не существует полипропилена общего назначения, который бы с одинаковым успехом использовался, например, как для производства волокна, так и для изготовления деталей машин или пленки. Успешное применение полипропилена для той или иной цели предполагает правильный выбор композиции (сорта, марки материала), которая по своим свойствам наиболее соответствует условиям переработки, назначению изделия и основным требованиям к его конструкции . При применении металлов для конструкционных целей соблюдение принципа подбора считается вполне естественным, при работе же с пластмассами этот принцип пока еще недостаточно прочно вошел в практику. Именно из-за незнания взаимосвязи областей применения и свойств пластических масс было допущено немало ошибок при внедрении их в технику.
Тара и упаковка
Полипропилен, в особенности пленка из него, обладает всеми необходимыми свойствами для применения в этой области. По своим характеристикам полипропиленовая пленка близка к полиэтиленовой, причем по некоторым показателям превосходит ее. По сравнению с пленками из других термопластов полипропиленовая пленка имеет преимущество в отношении стойкости к нагреванию и действию химических реагентов (она может быть подвергнута стерилизации при температуре выше 100° С, что определяет целесообразность ее использования в пищевой и фармацевтическом промышленности). Ее достоинствами являются также превосходили гибкость, глянцевитость поверхности, прозрачность, незначительная паропронинаемость, нетоксичность, сравнительно легкая свариваемость и хорошая сопротивляемость усталостной коррозии.
Несколько лет назад начали получать полипропиленовые пленки, ориентированные в одном или двух взаимно перпендикулярных направлениях . Ориентация пленки улучшает ее прочность, жесткость, влагоизоляционные свойства и прозрачность. Прочность пленки, ориентированной в двух направлениях, в 4—8 раз превышает прочность неориентированной. По свариваемости ориентированная пленка уступает неориентированной, поэтому главным потребителем ее как упаковочного материала следует считать галантерею, где она ценна благодаря своей исключительной прозрачности, отсутствию морщинистости - в этом отношении она лучше полиамидной пленки.
Вполне оправдало себя применение полипропилепа для изготовления затворов (пробок), бутылей , контейнеров. Как указывается в литературе , полипропилен может успешно конкурировать с традиционными материалами в отношении экономичности изготовления этих изделий (полипропилен способен формоваться при исключительно коротких циклах). По прочности, ударостойкости и химической стойкости полипропилен превосходит полистирол, а по жесткости, сопротивлению истиранию и внешнему блеску - полиэтилен.
Волокно
Большое количество изотактического полипропилена расходуется на производство волокна. Характерной особенностью полипропиленового волокна является его малая по сравнению с другими видами синтетических волокон плотность (0,905). Из 1 кг полипропилена можно получить 240000 м моноволокна диаметром 0,075 мм , т. е. больше, чем из любого другого синтетического материала, применяемого для производства моноволокон. Малая плотность полипропиленового моноволокна сочетается с исключительной прочностью и высокими эластическими свойствами. В то же время полипропиленовое волокно имеет меньший крип при постоянной нагрузке, более устойчиво к выцветанию и способно выдерживать без изменений воздействие более высоких температур (на 30° С), чем полиэтиленовое. Однако до сих пор не решена проблема стабилизации полипропиленового волокна от ультрафиолетового излучения. Это ограничивает возможность его использования в текстильной промышленности. Серьезными недостатками этого волокна являются также пониженная гигроскопичность (при использовании его для изготовления бельевых тканей), относительно плохая поверхностная окрашиваемость (поэтому нередко практикуется нерациональный метод окрашивания в массе) и не вполне удовлетворительная морозостойкость (20° С для ориентированного волокна).
С целью устранения этих недостатков полипропилен можно модифицировать разными методами, в частности введением в него специальных добавок (например, веществ с хорошими гидрофильными свойствами или содержащих реакционноспособные группы, необходимые для крашения, ультрафиолетовых стабилизаторов, морозостойких добавок и т. п.) , Хотя проблемы модификации полипропилена разрешены еще далеко не полностью, некоторые зарубежные фирмы производят в опытных количествах надлежащим образом стабилизированные и окрашенные волокна, способные выдержать длительную эксплуатацию в условиях воздействия солнечных лучей (под открытым небом). Бесспорно, что решение указанных проблем принципиально возможно и является лишь делом времени.
Полипропилен как антикоррозионный материал
Одно из типичных применений полипропилена — плакировка резервуаров, предназначенных для транспоровки и хранения химически агрессивных жидкостей, в том числе различных продовольственных товаров .
Были предприняты попытки изготовления полипропиленовых слоистых стеклопластиков различными методами. Основную трудность при этом представляет недостаточная адгезия полипропилена к стеклу
Кроме того, из полипропилена изготовляют корпуса насосов, работающих в агрессивных средах, шестерни, колпаки, трубопроводы и арматуру. Там, где требуется ударостойкость при высоких рабочих температурах, полипропилен может конкурировать с поливинилхлоридом.
















