MODELIRKURS (708405)
Текст из файла
Министерство образования РФ
Волгоградский государственный технический университет
Кафедра «САПР и ПК»
Курсовая работа
по моделированию
на тему:
«Математическое моделирование при активном эксперименте»
Выполнил: студент II-го курса
группы ИВТ-263
Б******** Ю.В.
Проверил: Фоменков С.А.
Волгоград 2001
Основные положения теории планирования эксперимента.
Оптимизация технологического процесса производства любой продукции содержит важный этап - определение (отыскание) математической модели - уравнения связи выходного показателя качества изделия (целевой функции, параметра оптимизации) с параметрами этого изделия или технологического процесса (входными факторами). Модель - это упрощенная система, отражающая отдельные стороны явлений изучаемого объекта. Каждый изучаемый процесс можно описать различными моделями, при этом ни одна модель не может сделать это абсолютно полно и всесторонне. Однако использование упрощенной модели, отражающей отдельные черты исследуемого объекта, позволяет яснее увидеть взаимосвязь причин и следствий, входов и выходов, быстрее сделать необходимые выводы, принять правильные решения.
Различают физическое и математическое моделирование. При физическом моделировании исследование объекта происходит при его воспроизведении в ином масштабе. Здесь возможен количественный перенос результатов эксперимента с модели на оригинал. Однако для анализа сложных объектов и процессов, каковыми являются большинство электронных схем, конструкций и технологических процессов производства радиоэлектронной техники, приборостроения, машиностроения и других промышленных отраслей, применение физического моделирования затруднительно, поскольку приходится использовать большое число критериев и ограничений, которые могут быть несовместимы, а зачастую и невыполнимы.
Математическое моделирование является методом качественного или количественного описания объектов или процессов, при этом реальный объект, процесс или явление упрощается, схематизируется и описывается определенным уравнением. В большинстве случаев математическая модель представляет собой уравнение регрессии, то есть геометрическое место точек математических ожиданий условных распределений целевой функции. Простейшим примером такой модели является уравнение парной корреляции, где на целевую функцию воздействует один фактор. На практике в реальном производстве на целевую функцию воздействуют много факторов и искомое уравнение регрессии становится многомерным.
Существует много методов отыскания уравнения регрессии, которые можно условно разделить на два класса: методы активного и методы пассивного эксперимента. Под активным экспериментом будем понимать эксперимент, предварительный план которого составлен так, чтобы получить максимальную информацию о целевой функции при минимальной ее дисперсии и проведении минимального числа опытов (эффективный план). Такой план (например, полный факторный эксперимент) требует искусственного одновременного варьирования всеми факторами в довольно широких пределах. Методы активного эксперимента довольно хорошо разработаны в специальном разделе математической статистики, который называется "Теория планирования эксперимента".
Под математической теорией планирования эксперимента будем понимать науку о способах составления экономных экспериментальных планов, которые позволяют извлекать наибольшее количество информации об объекте, о способах проведения эксперимента, о способах обработки экспериментальных данных, о способах использования полученных результатов для оптимизации исследуемых объектов (например, технологических процессов производства массовой продукции). Математический аппарат теории планирования эксперимента построен на сочетании методов математической статистики и методов решения экстремальных задач.
В настоящее время выделяют два основных направления теории планирования эксперимента:
-
планирование экстремальных экспериментов;
-
планирование экспериментов по выявлению механизма явлений.
В этой курсовой работе описываются в основном методы первого направления.
Любое экспериментальное исследование содержит три этапа:
-
этап постановки задачи;
-
этап планирования и проведения эксперимента;
-
анализ и интерпретация результатов.
Главной трудностью на этапе постановки задачи является переход с языка специальности на язык планирования эксперимента, на язык математики.
Построение математической модели технологического процесса в зависимости от поставленной задачи может преследовать следующие цели: минимизировать расход материала на единицу выпускаемой продукции при сохранении качества, произвести замену дорогостоящих материалов на более дешевые или дефицитных на распространение; сократить время обработки в целом или на отдельных операциях, перевести отдельные режимы в некритические зоны, снизить трудовые затраты на единицу продукции и т.п.; улучшить частные показатели и общее количество готовой продукции, повысить однородность продукции, улучшить показатели надежности и т.п.; увеличить надежность и быстродействие управления, увеличить эффективность контроля качества, создать условия для автоматизации процесса управления и т.п.
Прежде всего, необходимо выбрать зависимую переменную Y, которую впредь будем называть целевой функцией или параметром оптимизации, за который принимают один из показателей качества продукции либо по каждой технологической операции отдельно, либо по всему технологическому процессу сразу. Параметр оптимизации должен соответствовать следующим требованиям:
-
параметр должен измеряться при любом изменении (комбинации) режимов технологического процесса;
-
параметр должен быть статистически эффективным, то есть измеряться с наибольшей точностью;
-
параметр должен быть информационным, то есть всесторонне характеризовать технологический процесс (операцию);
-
параметр должен иметь физический смысл, то есть должна быть возможность достижения полезных результатов при соответствующих условиях процесса;
-
параметр должен быть однозначным, то есть должно минимизироваться или максимизироваться только одно свойство изделия.
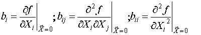
За фактор принимают контролируемую величину объекта (изделия, процесса, операции), то есть величину, характеризующую то или иное свойство объекта или режим технологического оборудования. Эта величина, числовое значение которой измеряется в пределах (границах) изменения, должна влиять на параметр оптимизации.
При определении величин количественных оценок во внимание должны приниматься только те факторы, которые имеют четкий метрологический смысл (возможность измерения фактора с определенной точностью).
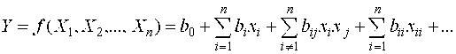
Описание исследуемого объекта нельзя получить в виде точной формулы функции, справедливой во всем диапазоне существования аргументов. Оно может быть лишь приближенным и на небольшом участке в окрестностях выбранной базовой точки. Аппроксимация искомой математической зависимости представляет собой некоторый полином - отрезок ряда Тейлора, в который разлагается неизвестная зависимость:
|
| (1) |
где:
В силу наличия неуправляемых и даже неконтролируемых входных переменных Xi изменение величины Y носит случайный характер, а потому уравнение (1) не дает нам точной связи между входом и выходом объекта и является лишь условным математическим ожиданием случайной величины Y, т.е. уравнением регрессии.
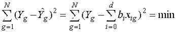
Чтобы отыскать коэффициенты уравнения регрессии по результатам экспериментов в N точках факторного пространства (что является типичной задачей регрессионного анализа), необходимо выполнение следующих предпосылок:
-
Результаты наблюдений Y1, Y2,...,Yn выходной величины в N точках факторного пространства представляют собой независимые, нормально распределенные случайные величины.
-
Выборочные дисперсии опытов
однородны, т.е. статистически неразличимы. Это требование означает независимость выборочной дисперсии от местоположения точки факторного пространства, в которой проводится конкретный опыт (ротатабельность). -
Независимые переменные X1, X2,...,Xn измеряются с ошибкой много меньшей, чем величина возможного отклонения выходного параметра Y под влиянием неучтенных факторов.
Тогда задача отыскания коэффициентов уравнения регрессии сводится к решению системы так называемых нормальных уравнений:
где Yg- экспериментальные значения выходного параметра, полученные в g-й точке факторного пространства;
- значение выходного параметра, найденные по уравнению регрессии в тех же точках;
d - количество членов в уравнении регрессии.
Выражение (2) является основным критерием проверки правильности найденного уравнения регрессии.
Чтобы система нормальных уравнений, которая может быть представлена в виде матрицы, имела единственное решение, необходимо, чтобы матрица была невырожденной, т.е. чтобы вектор – столбцы были линейно – независимы. Чтобы величины коэффициентов уравнения регрессии не зависели от числа членов матрицы, нужно на нее наложить дополнительное условие ортогональности вектор столбцов.
1. Полный факторный эксперимент
Полным факторным экспериментом (ПФЭ) называется эксперимент, реализующий все возможные повторяющиеся комбинации уровней независимых переменных, каждая из которых принудительно варьируется на двух уровнях (Рис 1)
|
|
| Рис. 1 Схема перехода в относительные координаты |
Число этих комбинаций N=2n определяет тип планирования.
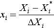
Для гарантированного получения единственного решения системы нормальных уравнений необходимо иметь ортогональную матрицу планирования, что невозможно обеспечить в абсолютной системе единиц факторов Xi, то есть тогда, когда факторы именованные (например, трудно представить 17 километров ортогональными к 12 килограммам). Поэтому необходимо провести предварительное преобразование каждого фактора - его перевод в систему относительных координат. Такое преобразование легко сделать с помощью переноса начала координат в базовую точку X* и выбора единицы отсчета Xi по каждой координате Xi.
|
| (3) |
Это дает возможность легко построить ортогональную матрицу планирования и значительно облегчает дальнейшие расчеты, так как в этом случае верхние и нижние уровни варьирования Xiв и Xiн в относительных единицах будут равны соответственно xiв = +1 и xiн = -1.
Шаг варьирования по каждой переменной выбирается таким, чтобы приращение величины выходного параметра Y к базовому значению Y* при реализации шага можно было выделить на фоне "шума" при небольшом числе параллельных опытов. Если нет никаких указаний на величину шага Xi, то в первом приближении можно выбрать Xi= 0,15X*i, т.е. принять за шаг 15%-ное отклонение от базового уровня X*i. Такой шаг дает достаточную гарантию того, что фактор Xi вызовет заметную реакцию Y, если связь между ними существует.
Матрица планирования должна отвечать следующим условиям:
-
Ортогональность
-
Условие нормированости
-
Симметричность относительно центра экстремума
-
Ротатабельность, т.е. координаты точек факторного пространства в матрице планирования подстраиваются так, что точность предсказания значения параметра оптимизации одинакова на равных расстояниях от центра эксперимента (базовой точки) и не зависит от направления.
Характеристики
Тип файла документ
Документы такого типа открываются такими программами, как Microsoft Office Word на компьютерах Windows, Apple Pages на компьютерах Mac, Open Office - бесплатная альтернатива на различных платформах, в том числе Linux. Наиболее простым и современным решением будут Google документы, так как открываются онлайн без скачивания прямо в браузере на любой платформе. Существуют российские качественные аналоги, например от Яндекса.
Будьте внимательны на мобильных устройствах, так как там используются упрощённый функционал даже в официальном приложении от Microsoft, поэтому для просмотра скачивайте PDF-версию. А если нужно редактировать файл, то используйте оригинальный файл.
Файлы такого типа обычно разбиты на страницы, а текст может быть форматированным (жирный, курсив, выбор шрифта, таблицы и т.п.), а также в него можно добавлять изображения. Формат идеально подходит для рефератов, докладов и РПЗ курсовых проектов, которые необходимо распечатать. Кстати перед печатью также сохраняйте файл в PDF, так как принтер может начудить со шрифтами.















