MODELIRKURS (708405), страница 4
Текст из файла (страница 4)
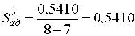
Таким образом, подтверждена воспроизводимость опытов (отсутствие в данных грубых промахов), что позволяет, в свою очередь, найти среднюю дисперсию строчных выборок (дисперсию опытов) по (8)
|
| C | v3 = 8·(5-1) = 32 степенями свободы |
Оценки коэффициентов уравнения регрессии ищутся по формуле (11)
и т.д. Аналогично находим b3 = -0,55; b12 = +0,61; b13 = -2,30; b23 = +0,26; b123 = -0,81
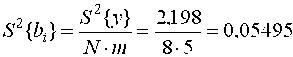
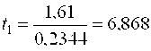
Проверяем значимость оценок коэффициентов по критерию Стьюдента по формуле (12), предварительно найдя дисперсию оценок по формуле (13)
|
| ; |
| |||||
| Тогда |
| ; |
| ; |
| ||
| далее аналогично | t12 = 2,602 | ; | t13 = 9,812 | ; | t23 = 1,109 | ; | t123 = 3,455 |
Табличное значение критерия ti (табл.П.2) tкр(5%;v3=32) = 2,046, поэтому все найденные оценки коэффициентов, кроме b23, признаются значимыми и должны войти в модель
= 14,90 + 1,61x1 + 0,86x2 -0,55x3 + 0,61x1x2 -2,30x1x3 - 0,81x1x2x3
Для определения дисперсии адекватности по формуле (14) необходимо сначала найти числовые значения модели
g для каждой g-ой строки матрицы планирования, а затем подсчитать сумму квадратов разностей между модельным значением и средним арифметическим
g той же строки
Тогда критерий Фишера (15) дает
что доказывает адекватность найденной модели. Ее можно использовать для управления технологическим процессом испытания резисторов
2. Дробный факторный эксперимент
Полный факторный эксперимент целесообразно использовать при сравнительно небольшом числе независимых факторов (обычно не больше 5), в противном случае число вариантов варьирования N = 2n становится непомерно большим и реализация эксперимента затрудняется. В то же время в большинстве практических задач взаимодействия внешних порядков, начиная с третьего (а то и второго), отсутствуют или пренебрежимо малы, вследствие чего излишне много степеней свободы остается на проверку гипотезы адекватности. Если заранее пренебречь взаимодействиями высших порядков, то имеется возможность получить математическую модель при меньшем числу опытов, реализовав не весь план ДФЭ, а только его часть (дробную реплику).
Эксперимент, реализующий часть (дробную реплику) полного факторного эксперимента, называется дробным факторным экспериментом (ДФЭ). ДФЭ позволяет получить приближение искомой функциональной зависимости Y = f(X1,...,Xn) в некоторой небольшой окрестности точки базового режима при минимуме опытов.
Так, для решения трехфакторной задачи можно ограничиться четырьмя вариантами (N = 4), если в планировании ПФЭ типа 22 произведение x1x2 приравнять к третьей независимой переменной x3. Такое планирование, представленное матрицей табл 3, позволяет оценить свободный член b0 и три коэффициента регрессии при линейных членах b1,b2,b3 (из четырех опытов нельзя получить более четырех коэффициентов).
| Таблица 3 | ||||||||
| Полуреплика от ПФЭ типа 23 (планирование типа 23-1) | ||||||||
| g | z0 | z1 | z2 | z3 | z4 | z5 | z6 | z7 |
| x0 | x1 | x2 | x3 | x1x2 | x1x3 | x2x3 | x1x2x3 | |
| 1 | + | - | - | + | + | - | - | + |
| 2 | + | + | - | - | - | - | + | + |
| 3 | + | - | + | - | - | + | - | + |
| 4 | + | + | + | + | + | + | + | + |
Применение ДФЭ всегда связано со смешиванием, т.е. совместной оценкой нескольких коэффициентов уравнения связи. В нашем примере, если коэффициенты регрессии bij при парных произведениях отличны от нуля, то каждый из найденных коэффициентов будет оценкой двух теоретических коэффициентов:
b0 0 + 123 ; b2 2 + 13 ;
b1 1 + 23 ; b3 3 + 12 .
Действительно, указанные коэффициенты в таком планировании не могут быть найдены раздельно, поскольку столбцы матрицы для линейных членов и парных произведений совпадают (полностью скоррелированы). Рассмотренный план ДФЭ представляет половину плана ДФЭ типа 23 и называется "полурепликой" от ПФЭ типа 23 или планированием типа N = 23-1.
При большом числе переменных можно построить дробные реплики высокой степени дробности (1/4, 1/8, 1/16 и т.д.). Дробная реплика обозначается через 2n-p, если p переменных приравнены к соответствующим произведениям переменных.
Для правильного планирования ДФЭ необходимо использовать все полученные ранее сведения об объекте теоретического и интуитивного характера и выделить из них те переменные и произведения переменных, влияние которых на процесс минимально. При этом смешивание нужно производить так, чтобы основные оценки b0,b1,...,bn были смешаны с взаимодействиями, о которых заранее известно, что они не оказывают влияния на объект. Следовательно, произвольное разбиение матрицы планирования 23 на две части выделения полуреплики типа 23-1 недопустимо.
Генерирующее соотношение служит для построения дробной реплики. Так, в рассмотренном планировании 23-1 мы задавали полуреплику типа 23 с помощью генерирующего соотношения x3 = x1x2.
Определяющим контрастом (ОК) называется соотношение, задающее элемент первого столбца матрицы планирования для фиктивной переменной (все они равны 1). Выражение ОК в нашем примере получается умножением левой и правой частей приведенного генерирующего соотношения на его левую часть x3
1 = x1x2x3,
так как всегда x2ig = 1.
Знание ОК позволяет определить всю систему совместных оценок не изучая матрицу планирования ДФЭ. Соотношения, задающие эти оценки, можно найти, последовательно перемножив независимые переменные на ОК
x1 = x2x3 ; x2 = x1x3 ; x3 = x1x2.
Отсюда легко находим смешиваемые теоретические коэффициенты регрессии и их оценки
b1 1 + 23 ; b2 2 + 13 ; b3 3 + 12 .
Разрешающая способность дробных реплик определяется генерирующими соотношениями. Она тем выше, чем выше порядок взаимодействий, с которыми смешаны линейные коэффициенты, и увеличивается с ростом числа независимых переменных.
Для четверти реплики в пятифакторном планировании типа 25-2 могут быть заданы, например генерирующее соотношение
x4 = x1x2x3 ; x5 = x1x2
заранее полагая, что 123 = 12 = 0, т.е. что пара x1x2 и тройка x1x2x3 не дает значимого эффекта взаимодействия. Определяющими контрастами для этой четверть-реплики согласно вышеприведенным правилам будут соотношения
1 = x1x2x3x4 ; 1 = x1x2x5.
Если у дробной реплики имеются два и более определяющих контраста, их необходимо перемножить между собой, используя все возможные комбинации. В случае четвертьреплики получается одна комбинация
1 = x3x4x5
Обобщающий определяющий контраст, построенный на основе всех полученных определяющих контрастов, полностью характеризует разрешающую способность реплик высокой степени дробности
1 = x1x2x3x4 = x1x2x5 = x3x4x5.
Совместные оценки здесь будут определяться соответствиями
x0 = x1x2x3x4 = x1x2x5 = x3x4x5 ;
x1 = x2x3x4 = x2x5 = x1x3x4x5 ;
x2 = x1x3x4 = x1x5 = x2x3x4x5 ;
x3 = x1x2x4 = x1x2x3x5 =x4x5 ;
x4 = x1x2x3 = x1x2x4x5 =x3x5 ;
x5 = x1x2x3x4x5 = x1x2 = x3x4 ;
x1x3 = x2x4 = x2x3x5 = x1x4x5 ;
x2x3 = x1x4 = x1x3x5 =x2x4x5 ;
Эти соотношения позволяют установить, оценкой каких теоретических коэффициентов является тот или иной коэффициент регрессии, полученный при обработке результатов эксперимента
b0 = 0 + 1234 + 125 + 345 ;
b1 = 1 + 234 + 25 + 1345 ;
b2 = 2 + 134 + 15 + 2345 ;
b3 = 3 + 124 + 1235 + 45 ;
b4 = 4 + 123 + 1245 + 35 ;
b5 = 5 + 12345 + 12 + 34 ;
b13 = 13 + 24 + 235 + 145 ;
b23 = 23 + 14 + 135 + 245 ;
Разрешающая способность этой четверти реплики невысокая, так как все линейные коэффициенты смешаны с парными взаимодействиями. Матрица планирования такой четверти реплики представлена в табл.4.
Следует иметь в виду, что ДФЭ всегда можно дополнить до ПФЭ, реализовав недостающие дробные реплики.
Вся дальнейшая работа по реализации матрицы планирования ДФЭ, проверке воспроизводимости полученных результатов, определению оценок коэффициентов регрессии и их значимости, проверке адекватности полученной математической модели не отличается от соответствующих процедур в ПФЭ.
Таблица 4
Четверть реплики от ПФЭ типа 25 (планирование типа 25-2)
| g | z0 | z1 | z2 | z3 | z4 | z5 | z6 | z7 | z8 | z9 | z10 | z11 | z12 | z13 | z14 | z15 | z16 | z17 | z18 | z19 | z20 | z21 | z22 | z23 | Z24 | z25 | z26 | z27 | z28 | z29 | z30 | z31 |
| x0 | x1 | x2 | x3 | x4 | x5 | x1x2 | x1x3 | x1x4 | x1x5 | x2x3 | x2x4 | x2x5 | x3x4 | x3x5 | x4x5 | x1x2x3 | x1x2x4 | x1x2x5 | x1x3x4 | x1x3x5 | x1x4x5 | x2x3x4 | x2x3x5 | x2x4x5 | x3x4x5 | x1x2x3x4 | x1x2x3x5 | x1x2x4x5 | x1x3x4x5 | x2x3x4x5 | x1x2x3x4x5 | |
| 1 | + | - | - | - | - | + | + | + | + | - | + | + | - | + | - | - | - | - | + | - | + | + | - | + | + | + | + | - | - | - | - | + |
| 2 | + | + | - | - | + | - | - | - | + | - | + | - | + | - | + | - | + | - | + | - | + | - | + | - | + | + | + | - | + | + | - | - |
| 3 | + | - | + | - | + | - | - | + | - | + | - | + | - | - | + | - | + | - | + | + | - | + | - | + | - | + | + | - | + | - | + | - |
| 4 | + | + | + | - | - | + | + | - | - | + | - | - | + | + | - | - | - | - | + | + | - | - | + | - | - | + | + | - | - | + | + | + |
| 5 | + | - | - | + | + | + | + | - | - | - | - | - | - | + | + | + | + | + | + | - | - | - | - | - | - | + | + | + | + | - | - | + |
| 6 | + | + | - | + | - | - | - | + | - | - | - | + | + | - | - | + | - | + | + | - | - | + | + | + | - | + | + | + | - | + | - | - |
| 7 | + | - | + | + | - | - | - | - | + | + | + | - | - | - | - | + | - | + | + | + | + | - | - | - | + | + | + | + | - | - | + | - |
| 8 | + | + | + | + | + | + | + | + | + | + | + | + | + | + | + | + | + | + | + | + | + | + | + | + | + | + | + | + | + | + | + | + |
Пример 2. Методом ДФЭ найти математическую модель процесса напыления резисторов.















