MODELIRKURS (708405), страница 3
Текст из файла (страница 3)
Необходимо отметить, что получаемая модель не дает членов типа x2ii и, таким образом, является неполной. В большинстве случаев это не отражается на качестве модели, так как чаще всего bii=0. Однако в случаях, когда bii0, модель становится неточной (неадекватной), тогда следует от ПФЭ переходить к другим принципам планирования (как правило, это случается в окрестностях частного или глобального экстремума целевой функции).
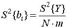
После определения оценок коэффициентов регрессии необходимо проверить гипотезу о значимости коэффициентов bi. Лучше всего это сделать в виде нуль-гипотезы, т.е. гипотезы о равенстве bi = 0. Если она подтвердилась, то коэффициент bi следует признать статистически незначимым и отбросить из искомой модели; если гипотеза не подтвердилась, то соответствующий коэффициент bi следует признать значимым и включить в модель.
Проверка гипотезы проводится с помощью t - критерия Стъюдента, который при проверка нуль-гипотезы формируется в виде
|
| (12) |
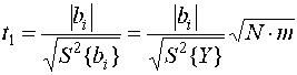
где S2{bi}- дисперсия ошибки определения коэффициента bi. При полном и дробном факторном планировании для всех i
|
| (13) |
Если вычисленная величина параметра ti превышает табличное значение tкр, найденное для q%-ного уровня значимости и vз=N(m-1) числа степеней свободы (например для q = 5%; vз = 16; tкр = 2,199, см.табл.П.2) то нуль-гипотеза отвергается и коэффициент считается незначимым и его следует отбросить, не включая в искомую модель.
Статистическая незначимость коэффициента bi может быть обусловлена следующими причинами:
-
уровень базового режима
* близок к точке частного экстремума по переменной Xi или по произведению переменных; -
шаг варьирования Xi выбран малым;
-
данная переменная (или произведение переменных) не имеет функциональной связи с выходным параметром Y;
-
велика ошибка эксперимента вследствие наличия неуправляемых и неконтролируемых переменных.
Поскольку ортогональное планирование позволяет определять доверительные границы для каждого из коэффициентов регрессии в отдельности, то, если какой-либо из коэффициентов окажется незначимым, он может быть отброшен без пересчета всех остальных. После этого математическая модель объекта составляется в виде уравнения связи выходного параметра Y и переменных xi, включающего только значимые коэффициенты.
Чтобы проверить гипотезу об адекватности представления результатов эксперимента найденному уравнению связи (иными словами, чтобы проверить, насколько найденное уравнение соответствует экспериментальным результатам), достаточно оценить отклонение выходной величины Yg, предсказанное уравнением регрессии, от результатов экспериментов
g в точках
факторного пространства.
Рассеяние результатов эксперимента вблизи уравнения связи, аппроксимирующего искомую функциональную зависимость, можно охарактеризовать с помощью дисперсии неадекватности 2ад, оценка которой S2ад находится по формуле
|
| (14) |
с числом степеней свободы vад = N-d, где d - число членов аппроксимирующего полинома.
Проверка адекватности состоит в выяснении соотношения между дисперсией неадекватности 2ад и дисперсией воспроизводимости 2{Y}. Если 2ад не превышает дисперсии опыта, то полученная математическая модель адекватно представляет результаты эксперимента, если же 2ад> 2{Y}, то описание считается неадекватным объекту.
Проверка гипотезы об адекватности проводится с использованием F-критерия Фишера.
Критерий Фишера позволяет проверить нуль-гипотезу о равенстве двух генеральных дисперсий 2ад и 2{Y}. В связи с тем, что самих генеральных дисперсий мы не знаем, F-критерий формируется как отношение
|
| (15) |
Если вычисленное по формуле (15) значение критерия F меньше табличного Fкр, найденного для q%-ного уровня значимости, vчисл = vад = v4 = N-d числа степеней свободы числителя и vзн = vз = N(m-1) числа степеней свободы знаменателя, то нуль-гипотеза принимается. В противном случае она отвергается и описание (модель) признается неадекватным объекту. Некоторые значения Fкр(q=5%;v4;vз) приведены в табл.П.4
В ходе работы может возникнуть ситуация, когда выборочная дисперсия неадекватности S2ад не превосходит оценки дисперсии воспроизводимости S2{Y} (т.е. когда S2адS2{Y}). Тогда соотношение (15) будет равно F1 и неравенство F
Проверка адекватности возможна только при vад = v4 > 0. Число вариантов варьирования плана ПФЭ равно числу оцениваемых коэффициентов регрессии уравнения связи (N = d). Следовательно, не остается степеней свободы (vад = 0) для проверки нуль-гипотезы об адекватности представления экспериментальных данных выбранной формой аппроксимирующего полинома. Если же некоторые коэффициенты регрессии оказались незначимыми или ими можно пренебречь в силу их малости, то число членов проверяемого уравнения в этом случае будет меньше числа вариантов варьирования (d
Если гипотеза адекватности отвергается, то модель признается неадекватной экспериментальным данным. Неадекватность модели не означает ее неправильности! Неадекватность модели может означать, что не весь перечень влияющих факторов был принят во внимание, или что необходимо перейти к более сложной форме уравнения связи, или выбрать другой шаг варьирования по одному или нескольким факторам и т.п. Однако все достижения неадекватной модели: отсев незначимых факторов, оценка дисперсии эксперимента и др. остаются в силе.
Пример 1. Методом ПФЭ найти математическую модель процесса напыления резисторов.
После консультации с экспертами и некоторых предварительных исследований было определено, что на величину сопротивления напыляемых резисторов могут оказывать влияние следующие факторы:
-
Состояние испарителя - "чистое", т.е. порошок для напыления сыпется в стакан испарителя впервые после промывки его сторон, или "грязное", т.е. порошок сыпется в испаритель, в котором осталось некоторое его количество от предыдущего цикла напыления; обозначим этот фактор как x1, причем величина x1 = +1соответствует "чистому", а величина x1 = -1 соответствует "грязному" состоянию испарителя;
-
Температура подогрева подложки x2, причем x2 = +1 соответствует верхней допустимой по техпроцессу температуре, а x2 = -1 - нижней;
-
Температура испарителя x3, причем x3 = +1 соответствует верхней допустимой по техпроцессу температуре, а х3 = -1 - нижней.
План эксперимента, его пятикратная реализация с учетом рандомизации и первичная обработка результатов представлена в таблице.
| номер g | Циклы | z0 | z1 | z2 | z3 | z4 | z5 | z6 | z7 | Результаты, кOм | Обработка | Адекватность | ||||||||||
|
| S2g |
| ( | |||||||||||||||||||
| k1 | k2 | k3 | k4 | k5 | x0 | x1 | x2 | x3 | x1x2 | x1x3 | x2x3 | x1x2x3 | Yg1 | Yg2 | Yg3 | Yg4 | Yg5 | |||||
| 1 | 4 | 2 | 3 | 6 | 8 | + | - | - | - | + | + | + | - | 11,4 | 10,5 | 13,8 | 14,0 | 12,1 | 12,36 | 2,303 | 12,10 | 0,0676 |
| 2 | 3 | 3 | 6 | 2 | 5 | + | + | - | - | - | - | + | + | 18,1 | 17,4 | 15,2 | 16,8 | 19,2 | 17,34 | 2,228 | 17,08 | 0,0676 |
| 3 | 8 | 6 | 2 | 4 | 1 | + | - | + | - | - | + | - | + | 10,8 | 9,3 | 11,6 | 12,1 | 9,8 | 10,72 | 1,387 | 10,98 | 0,0676 |
| 4 | 6 | 1 | 7 | 1 | 6 | + | + | + | - | + | - | - | - | 18,8 | 29,6 | 22,0 | 22,8 | 20,7 | 21,38 | 2,752 | 21,64 | 0,0676 |
| 5 | 5 | 8 | 1 | 3 | 4 | + | - | - | + | + | - | - | + | 12,9 | 12,8 | 13,6 | 15,2 | 14,0 | 13,70 | 0,950 | 13,98 | 0,0784 |
| 6 | 2 | 5 | 5 | 7 | 2 | + | + | - | + | - | + | - | - | 12,0 | 11,6 | 14,2 | 13,4 | 12,5 | 12,74 | 1,118 | 13,00 | 0,0676 |
| 7 | 1 | 7 | 4 | 8 | 7 | + | - | + | + | - | - | + | - | 15,1 | 14,8 | 16,8 | 18,1 | 17,0 | 16,36 | 1,913 | 16,10 | 0,0676 |
| 8 | 7 | 4 | 8 | 5 | 3 | + | + | + | + | + | + | + | + | 13,5 | 11,9 | 14,3 | 17,0 | 16,2 | 14,58 | 4,227 | 14,32 | 0,0676 |
| | 119,18 | 16,878 | - | 0,5410 | ||||||||||||||||||
При первичной обработке результатов экспериментов пользуемся формулами (4) и (5), а затем проверяем воспроизводимость опытов по (7)















