MODELIRKURS (708405), страница 2
Текст из файла (страница 2)
Матрица планирования составляется по следующим правилам:
-
Каждая g-я строка матрицы представляет собой набор координат точки
g, в которой производится эксперимент; -
Поскольку переменные xgi принимают лишь значения +1 и -1, то все остальные переменные могут принимать те же значения, что позволяет в целях упрощения записывать в таблицу вместо +1 и -1 их знаки + и -;
-
Первая строка
1 выбирается так, чтобы управляемые переменные находились на нижнем уровне, т.е. xi1 = -1. Последующие строки при составлении матрицы планирования набираются по правилу: при построчном переборе всех вариантов частота смены знака управляемых переменных для каждой последующей переменной вдвое меньше, чем для предыдущей (см. табл. 1)
| Таблица 1 | ||||
| Матрица планирования трехфакторного эксперимента | ||||
| g | x1 | x2 | x3 | |
| 1 | - | - | - | |
| 2 | + | - | - | |
| 3 | - | + | - | |
| 4 | + | + | - | |
| 5 | - | - | + | |
| 6 | + | - | + | |
| 7 | - | + | + | |
| 8 | + | + | + | |
Следует отметить, что суть матрицы не изменится, если первая строка
1 будет выбрана так, чтобы управляемые переменные находились на верхнем уровне, т.е. xi1 = +1.
Матрицы планирования любого другого типа, например, 24, 25 и т.д. могут быть получены описаным выше способом.
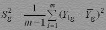
Поскольку изменение выходной величины Y носит случайный характер, необходимо в каждой точке
g (т.е. в точке с координатами, записаными в g-й строке) проводить m параллельных опытов и результаты наблюдений Y1g,Y2g,...,Ymg усреднять
|
| (4) |
Величина m может быть любой, но не меньше m=3. Тогда эксперимент делится на m серий опытов, в каждой из которых полностью реализуется матрица планирования (т.е. эксперимент проводится в N=2n точках факторного пространства).
Одним из важнейших положений современной теории планирования эксперимента является рандомизация. План эксперимента составляется так, чтобы рандомизировать, т.е. сделать случайными те систематически действующие факторы, которые трудно поддаются учету и контролю, для того, чтобы рассматривать их как случайные величины и учитывать статистически.
Перед реализацией плана на объекте необходимо произвести рандомизацию - с помощью таблицы равномерно распределенных случайных чисел (табл.П.6) определить последовательность реализации матрицы планирования в каждой из m серий опытов. Для этого в качестве начала выбирается любое число из табл.П.6 и записывается в столбец k1 из табл.2 на место g=1. Остальные места этого столбца заполняют числа от 1 до N, следующие по порядку из табл.П.6 за выбранным начальным. Следует обращать внимание на то, чтобы числа в столбцах табл.2 не повторялись дважды. Пусть, например, при g=4 k14=8, это значит, что в первой серии испытаний точка
4 реализуется восьмой по порядку.
Аналогично рандомизируются испытания в каждой из оставшихся серий экспериментов; порядок реализации записывается в столбцах k2,k3,...,km. Результаты эксперимента в каждой из серий испытаний записываются в столбцах Y1,Y2,...,Ym.
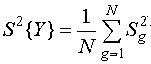
Проверка воспроизводимости - это проверка на выполнение второй предпосылки регрессионного анализа об однородности выборочных дисперсий S2g. Задача состоит в проверке гипотезы о равенстве дисперсий 2{Y1}2{Y2}2{YN} при экспериментах соответственно в точках
1,
2,...,
g,...,
N.
Оценки дисперсий находятся по формуле
|
| (5) |
Так как все дисперсии получены по выборкам одинакового объема m, то число степеней свободы для всех дисперсий одинаково и равно
| v1 = m-1 | (6) |
Для проверки гипотезы об однородности оценок дисперсий следует пользоваться критерием Кохрена, который основан на законе распределения отношения максимальной эмперической дисперсии к сумме всех дисперсий, т.е.
|
| (7) |
Если вычисленное значение критерия G окажется меньше табличного значения Gкр, найденного для q%-ного уровня значимости, vзн = v2 = N - числа степеней свободы знаменателя (например для q=5%; vчисл = 3 - 1 = 2; vзн=8, Gкр = 0,5157, см. табл.П.5), то гипотеза об однородности дисперсий принимается. При этом всю группу дисперсий S2g можно считать оценкой S2{Y} одной и той же генеральной дисперсии воспроизводимости 2{Y}, откуда
|
| (8) |
Если проверка на воспроизводимость дала отрицательный результат, то остается признать либо невоспроизводимость эксперимента относительно управляемых переменных вследствие наличия флуктуаций неуправляемых и неконтролируемых переменных, создающих на выходе большой уровень "шума", либо наличие грубого промаха в строке, откуда взята дисперсия max{S2g}. В первом случае следует увеличить число параллельных опытов, во втором - найти грубый промах и заменить его на результат доброкачественного измерения при соответствующей комбинации факторов. Если это по каким-то причинам невозможно, то, чтобы не нарушать предпосылки использования критерия Кохрена, на место грубого промаха следует поместить среднюю арифметическую величину
g данной строки.
Следует также отметить, что критерий Кохрена можно применять не к любой группе выборок, а только к группе выборок одинакового объема, что как раз и имеет место при полном факторном эксперименте.
Легко заметить, что исходный план (табл.1) содержит много больше строк, чем столбцев и, следовательно, из результатов эксперимента согласно условию решения нормальных уравнений (2) можно получить дополнительную информацию, т.е. расширить модель. Безусловно, это относится к средней арифметической всего эксперимента, т.е. к отклику в базовой точке b0, для расчета которого можно ввести фиктивную переменную xод = +1 для всех строк. Оставшиеся свободными столбцы можно использовать для нахождения оценок коэффициентов при парных взаимодействиях и т.п. При этом соответствующие величины xixj, xixjxl получаются простым перемножением соответствующих столбцов исходного плана.
Тогда математическая модель объекта, получающаяся в результате ПФЭ может быть представлена в виде
| Y = 0 + 0x1 + nxn + 12x1x2 + (n-1)x1x2 + 123x1x2x3 + 123...nx1x2x3x3 | (9) |
Однако вследствие того, что из ограниченного числа опытов нельзя получить точные значения коэффициентов i, а только их независимые оценки bi, вся математическая модель становится оценочной
|
| (10) |
Пример матрицы планирования, принцыпа ее реализации и последующей обработки экспериментальных данных приведен в табл.2 на базе трехфакторного эксперимента. В разделе "Матрица планирования эксперимента" включены не только относительные переменные xi, сочетание которых и является собственно настоящей матрицей планирования, ни и их парные и тройные взаимодействия, знание которых необходимо лишь на этапе обработки экспериментальных данных.
| Таблица 2 |
| Матрица планирования ПФЭ типа N=23 и обработка его результатов |
| номер g | Порядок реализации опытов | Матрица планирования эксперимента | Результаты эксперимента | Первичная | Проверка | |||||||||||||||||
| l | z0 | z1 | z2 | z3 | z4 | z5 | z6 | z7 | Yg1 | ... | Ygl | ... | Ygm |
| S2g |
| ( | |||||
| k1 | ... | kl | ... | km | x0 | x1 | x2 | x3 | x1x2 | x1x3 | x2x3 | x1x2x3 | ||||||||||
| 1 | 1 | ... | 6 | ... | 8 | + | - | - | - | + | + | + | - |
|
|
|
|
|
|
|
| |
| 2 | 7 | ... | 5 | ... | 4 | + | + | - | - | - | - | + | + |
|
|
|
|
|
|
|
| |
| 3 | 3 | ... | 7 | ... | 6 | + | - | + | - | - | + | - | + |
|
|
|
|
|
|
|
|
|
| 4 | 8 | ... | 2 | ... | 7 | + | + | + | - | + | - | - | - |
|
|
|
|
|
|
|
|
|
| 5 | 6 | ... | 3 | ... | 2 | + | - | - | + | + | - | - | + |
|
|
|
|
|
|
|
|
|
| 6 | 4 | ... | 4 | ... | 1 | + | + | - | + | - | + | - | - |
|
|
|
|
|
|
|
|
|
| 7 | 2 | ... | 1 | ... | 5 | + | - | + | + | - | - | + | - |
|
|
|
|
|
|
|
|
|
| 8 | 5 | ... | 8 | ... | 3 | + | + | + | + | + | + | + | + |
|
|
|
|
|
|
|
|
|
Для удобства расчетов и представления формул каждый столбец может быть представлен в виде новой переменной Zig. Тогда оценки коэффициентов уравнения регрессии легко найти по формуле
|
| (11) |
Легко заметить, что матрица планирования
является ортогональной с линейно независимыми вектор-столбцами; отсюда следует диагональность матрицы нормальной системы уравнений, а следовательно, и взаимная независимость оценок коэффициентов уравнения регрессии.















