109069 (707874)
Текст из файла
Явление запаздывания потенциала
Николай Носков
Не сотвори себе кумира
Библия
Нужно сделаться равнодушным и не задаваться вопросом о том, есть ли польза от истины, не окажется ли она роковой для тебя... Нужно, как то свойственно сильному, отдавать предпочтение вопросам, которые в наши дни никто не осмеливается ставить; необходимо мужество, чтобы вступать в область запретного; необходима предопределенность – к тому, чтобы существовать в лабиринте. И семикратный опыт одиночества. И новые уши для новой музыки. И новые глаза – способные разглядеть наиотдаленнейшее. Новая совесть, чтобы расслышать истины, прежде немотствующие...
Фридрих НИЦШЕ. «Антихрист»
Уже начиная с Декарта и Ньютона, исследователи физических явлений пришли к выводу о том, что взаимодействия между телами передаются через среду, находящуюся между ними. Эта среда, назовем ее по Гюйгенсу эфиром, должна иметь все свойства материи, в том смысле, как мы должны их понимать: массу как меру инертности, твердость, упругость, пластичность, плотность, движение... В этом случае, как гарантию верности физических законов, таких как: законы сохранения энергии, импульса, количества движения и других, мы должны принять инвариантами евклидово пространство, массу и время в таком виде, какими их постулировал Ньютон в своих «Началах...» [1].
Масса, как носитель энергии, может переносить и передавать ее из одной точки пространства в другую, что и является главным условием передачи потенциала взаимодействия с конечной скоростью, зависящей от свойств передающей среды и от механизма, с помощью которого это взаимодействие происходит.
Механизмы взаимодействия можно разделить на четыре вида:
1) перенос энергии происходит вместе с переносом среды;
2) волнами;
3) передачей давления через среду;
4) аэрогидродинамические.
Уже давно показано, что три последних механизма имеют для определенной среды одну и ту же скорость переноса. Так передача в воздухе звуковых волн и давления происходит с одной и той же скоростью. Проводя аналогию, можно прийти к выводу о том, что скорость гравитационного, электромагнитного и ядерного взаимодействий, считая, что их механизмы осуществляются через одну и ту же среду – эфир, происходит со скоростью волн этой среды, то есть – со скоростью света. К таким выводам пришли: Гаусс в 1835 году, Гербер в 1898, Пуанкаре в 1902 и многие другие. Но обычно исследователи не идут далее этих выводов, в то время как оказывается, что с них начинается самое главное.
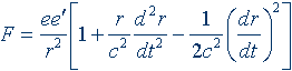
Первым о последствиях существования конечной скорости взаимодействия задумался К.Ф.Гаусс, и в 1835г. он вывел закон динамики электромагнитного взаимодействия частица – частица, зависящий от относительной скорости взаимодействующих частиц, где электростатика Кулона была обобщена на скорость взаимодействия [2]:
,
где: (1)
ee'/r2 – закон Кулона в согласованной системе единиц;
(3/2c2) (dr/dt)2 – коэффициент запаздывания потенциала;
u – относительная скорость;
c – скорость взаимодействия, равная скорости света;
dr/dt – абсолютная скорость между телами по линии их соединяющей.
И хотя сам закон оказался не совсем верным, был важен логический подход к его выводу, сама идея. Его закон был результатом моделирования процесса взаимодействия, рассуждения просты и логичны, а выводы повторимы и проверяемы.
Он рассуждал примерно так. Если скорость распространения потенциала взаимодействия конечна, а это теперь ни у кого не вызывает сомнений, то к движущемуся телу он приходит с некоторым запозданием, поскольку с момента движения его от первого тела, второе переместилось в другую точку, где закон взаимодействия для неподвижных тел предусматривает приход потенциала с несколько другим значением. Чем больше абсолютная скорость между телами, тем больше запаздывание потенциала. При достижении этой скорости равной скорости взаимодействия, происходит полное запаздывание (потенциал от первого тела не может достичь второго) и взаимодействие тел отсутствует, его сила равна нулю.
Гаусс пришел к выводу о том, что закон взаимодействия от скорости должен зависеть от его механизма, но поскольку его невозможно пока выявить, то видимо существуют обходные пути, которые предусматривали бы проверку эвристически найденных законов наблюдениями, экспериментами и эмпирическими законами. Таким эмпирическим законом в первую очередь стал закон Ампера для взаимодействия двух проводников с током.
Гаусс умер, не успев опубликовать своего открытия. Но он успел послать письмо в Лейпциг своему младшему коллеге и другу Веберу, с которым они работали долгое время в Геттингене. В письме он изложил свои соображения на этот счет и выведенный им закон электродинамики (закон запаздывания потенциала).
Вебер, прежде чем опубликовать письмо Гаусса в сборнике его трудов в 1867г., вывел и опубликовал в 1846г. (через 11 лет после открытия Гаусса, а письмо Гаусса было опубликовано лишь ещё через 21 год!) свой закон электродинамики частица – частица [3]:
, где: (2)
(1/2c2) (dr/dt)2 – коэффициент запаздывания.
(r/c2) (d2r/dt2) – коэффициент излучения.
с – коэффициент перехода от электростатической к электродинамической системе единиц.
По поводу этого закона необходимо отметить следующее. Если первая производная расстояния по времени равна нулю, то запаздывание потенциала отсутствует. Если вторая производная равна нулю, отсутствует излучение. Существует и третья возможность: первая производная не равна нулю (имеется запаздывание потенциала), но вторая производная равна нулю, то есть скорость по линии соединяющей тела постоянна, что соответствует движению по эллипсу (это к вопросу о том, должен ли излучать электрон при движении по орбите).
Вебер вывел свой закон из закона Ампера для взаимодействия двух проводников с током и выдал как формализм, не объясняя причинных его обоснований. Вместо скорости взаимодействия в нем фигурирует коэффициент перехода от электростатической к электродинамической системе единиц. После того, как сам же Вебер совместно с Кольраушем экспериментально показали, что величина этого коэффициента равна скорости света (естественно, это так и должно было быть по Гауссу!), и все поняли, что свет – электромагнитные колебания, закон Вебера попал в центр внимания исследователей. Так родилась классическая электродинамика.
Два великих физика, Гельмгольц и Максвелл, восприняли формализм Вебера как закон дальнодействия (ведь коэффициент – не скорость взаимодействия) и выступили с резкой его критикой. Гельмгольц усмотрел в законе Вебера нарушение закона сохранения энергии. И это справедливо, так как запаздывание потенциала, о котором еще никто не догадывался и не знал, само по себе означает неполную реализацию затраченной энергии мгновенно, а с некоторым запозданием. Вспомните у Максвелла: «энергия взаимодействия уже покинула одно тело, но не достигла другого»! Заблуждение Гельмгольца очень хорошо «оформлено» им в предисловии к книге Г.Герца «Принципы механики, изложенные в новой связи» [4]. Он написал: «Законы электродинамики выводились в Германии из гипотезы Вебера, который пытался свести объяснение электрических и магнитных явлений к некой модификации ньютоновского предположения о силах, непосредственно и прямолинейно действующих на расстоянии... В гипотезе Вебера делалось предположение, что распространение этой силы в бесконечном пространстве происходит мгновенно с бесконечной скоростью (выделено мной – Н.Н.)... Подобные гипотезы выдвигались Ф.Э.Нейманом, его сыном К.Нейманом, Риманом, Гроссманом, позднее Клаузиусом... Из этого пестрого собрания гипотез отнюдь не следовало ясных выводов. Для того чтобы их сделать, необходимо было обратиться к сложным расчетам, к разложению отдельных сил на их различно направленные компоненты и т.д. Так область электродинамики превратилась в то время в бездорожную пустыню. Факты, основанные на наблюдениях, и следствия из весьма сомнительных теорий – все это было вперемежку соединено между собой».
Мы же видим теперь, что заблуждался сам Гельмгольц. Но он был в то время известным и весьма влиятельным ученым, и его мнение сыграло решающую роль. Даже убедительная реабилитация этих законов Максвеллом в «Трактате об электричестве и магнетизме» [5], где он после ознакомления с соображениями Гаусса посвятил целую главу законам Гаусса и Вебера, показав, что оба закона одинаково выводятся из закона Ампера, являются законами близкодействия, а закон Вебера подчиняется закону сохранения энергии, осталась незамеченной последующими поколениями физиков.
Однако еще более негативную роль в отвержении законов запаздывания потенциала сыграл, как ни странно, еще один очень знаменитый и влиятельный ученый – физик Г.Лоренц. Как ни странно – потому, что он сам в свое время продолжил исследования электродинамики и, объединив два подхода, Клаузиуса и Максвелла, вывел знаменитый закон электродинамики частица – поле [6]:
. (3)
Этот закон известен как «электронная теория» и был создан Лоренцем в 1892г. Он устанавливает взаимосвязь силы взаимодействия заряженной частицы (электрона) с полем от скорости. И именно он должен был объяснить аномальные отклонения в движении электронов в поперечном магнитном поле в экспериментах Дж.Дж.Томсона и В.Кауфмана. А если бы он расходился с экспериментом, то потребовалась бы его корректировка. И действительно, рассматривая теперь его с позиций явления запаздывания потенциала, мы видим, что хотя сила взаимодействия и зависит здесь от скорости электрона, запаздывающий потенциал, который бы уменьшал ее сообразно отношению v2/c2, как это происходит в законах запаздывания потенциала (в том числе и у Клаузиуса), отсутствует. Это наводит на мысль о том, что Лоренц смутно представлял себе идеи Гаусса. Правда, Р.Фейнман [7] показал, что значение Е в формуле (3) надо представлять как закон запаздывания потенциала, указав, что в нем «содержится и принцип действия генераторов тока, и особенности поведения света – словом, все явления электричества и магнетизма». Тем не менее, он не пошел далее этих выводов и не попытался применить их для экспериментов Кауфмана.
Первым заметил аномальные отклонения от закона классической механики в движении электронов в поперечном магнитном поле Дж.Дж.Томсон в 1881г. Свои наблюдения он соотнес лишь с законами классической механики, а применить электродинамику у него и в мысли не приходило, по причине того, что соображения Гаусса ему были неизвестны, закон Вебера был непонятным формализмом, а до электронной теории Лоренца оставалось еще 11 лет. Он пришел к выводу как бы лежащему на поверхности: с ростом скорости электронов растет их масса.
И когда в 1902...1903гг. Кауфман [8], [9] повторил эксперименты Дж.Дж.Томсона, он уже не задумывался о причинах аномальных отклонений в движении электронов. Его задачей было нахождение эмпирического закона. И здесь произошло удивительное совпадение: закон предполагаемого изменения массы электрона приблизительно совпал с множителем Лоренца, который тот применил как гипотезу сокращения продольных линейных размеров для объяснения «нулевых» экспериментов Майкельсона – Морли.
Именно в период с 1881 по 1904гг. исследователями Дж.Дж.Томсоном, В.Кауфманом и Г.Лоренцем с придумыванием некой «электромагнитной массы», совершенно ничем не подтверждаемой субстанции, был нарушен самый главный закон развития физики – причинность, без выяснения которой нельзя было делать вывода о том, какой параметр является переменным и почему. Кроме этого, Лоренц дважды неверно интерпретировал результаты экспериментов: эксперименты Майкельсона и Морли не были нулевыми, а Кауфмана – не совсем удовлетворительно ложились на множитель Лоренца.
Совпадение закона предполагаемого увеличения массы электрона с множителем Лоренца сыграло решающую роль во введении общего принципа относительности. Лоренц уже обдумывал к нему подходы, и после того, как ему с большим трудом и с большой кровью удалось победить гипотезу Френеля о частичном увлечении эфира телами, подарок с увеличением массы электронов просто упал ему в руки. В 1904 году в статье «Электромагнитные явления в системе, движущейся с любой скоростью, меньшей скорости света» [10] Лоренц приводит все результаты экспериментов Кауфмана и показывает хорошее их согласие с гипотезой об увеличении массы электрона при применении множителя, носящего его имя. В этой же статье он окончательно сформировал идею общего принципа относительности. Формирование и обоснование заблуждений завершилось. Пуанкаре с некоторыми колебаниями, а Эйнштейн без них и без критического анализа перенесли эти заблуждения в свои работы. Именно этот факт особенно ярко устанавливает запоздалый, хотя и теперь ненужный приоритет Лоренца по введению общего принципа относительности. Заметим, однако, что Пуанкаре полностью признавал приоритет Лоренца. Об этом он писал и говорил неоднократно, когда обсуждал работы Лоренца в своих статьях и выступлениях 1898...1905гг.
Но особенно убедительно это выражено в его главной работе [11], вышедшей практически одновременно со статьей Эйнштейна «К электродинамике движущихся тел» [12]. В начале своей работы «О динамике электрона» он пишет: «Согласно теории Лоренца двумя равными отрезками – по определению – будут такие два отрезка, через которые свет проходит в одно и то же время. Может быть, достаточно только отказаться от этого определения, чтобы вся теория Лоренца была совершенно уничтожена, как это случилось с системой Птолемея после вмешательства Коперника». В цитате есть все: и признание приоритета; и то, что из теории Лоренца следует постулат о постоянстве скорости света в смысле релятивистской формулы сложения скоростей, который был приписан впоследствии Эйнштейну; и то, что введен он недостаточно корректно, вызывая сомнения в его справедливости. Имеющий ухо – да услышит!
На фоне этого высказывания Пуанкаре весьма странной выглядит дискуссия о приоритете, длящаяся уже более 90 лет. Однако внимательный читатель работы Эйнштейна мог бы заметить, что он собственно не совершал в ней процедуры введения общего принципа относительности, а постулировал его как свершившийся факт. Целью его работы скорее было показать последствия его введения. А поскольку они были ужасны: рушились все инварианты классической механики; появлялись чудовищные монстры в виде эквивалентности массы и энергии; искусственного симбиоза пространства и времени, которое к тому же еще искривлялось (о геометрии этого искривления до сих пор идет жестокий спор); эффекта близнецов и т.д., работа Эйнштейна по этой причине сразу попала в центр внимания. И здесь неблаговидную роль сыграла группа физиков, вознесшая Эйнштейна и его работу на пьедестал.
Характеристики
Тип файла документ
Документы такого типа открываются такими программами, как Microsoft Office Word на компьютерах Windows, Apple Pages на компьютерах Mac, Open Office - бесплатная альтернатива на различных платформах, в том числе Linux. Наиболее простым и современным решением будут Google документы, так как открываются онлайн без скачивания прямо в браузере на любой платформе. Существуют российские качественные аналоги, например от Яндекса.
Будьте внимательны на мобильных устройствах, так как там используются упрощённый функционал даже в официальном приложении от Microsoft, поэтому для просмотра скачивайте PDF-версию. А если нужно редактировать файл, то используйте оригинальный файл.
Файлы такого типа обычно разбиты на страницы, а текст может быть форматированным (жирный, курсив, выбор шрифта, таблицы и т.п.), а также в него можно добавлять изображения. Формат идеально подходит для рефератов, докладов и РПЗ курсовых проектов, которые необходимо распечатать. Кстати перед печатью также сохраняйте файл в PDF, так как принтер может начудить со шрифтами.
















