109069 (707874), страница 2
Текст из файла (страница 2)
* * *
Как будет показано ниже, законы запаздывания потенциала приводят к выводу о том, что при приближении скорости электрона к скорости взаимодействия, равной скорости света, сила взаимодействия его с магнитным полем приближается к нулю, а его энергия – к Еmax:
Emax = mec2 · f 2/2, где: (4)
me – масса электрона;
с – скорость взаимодействия, равная скорости света;
f = vлин. макс. / vфаз – коэффициент, зависящий от закона запаздывания потенциала.
Здесь не нарушен классический закон энергии, и он имеет конечную величину. Что же касается релятивистской формулы:
E = mc2, где: (5)
m – релятивистская масса, равная
;
c – скорость света (заметьте, здесь уже нет скорости взаимодействия!);
то в ней, при приближении скорости электрона к c, его масса, а, следовательно, и энергия, стремится к бесконечности. Электрон, разогнанный на циклотроне до скоростей близких к c, попадая в мишень, разнес бы мишень и сам циклотрон, однако такого не происходит, поскольку большей энергии, чем в (4) получено быть не может. Масса электрона в формуле (4) не изменяет своей величины от скорости, а энергия растет за счет увеличения частоты продольных колебаний, что выражено неизвестной пока зависимостью f. Закон изменения f от скорости, однако, не может быть «множителем Лоренца», поскольку при скорости взаимодействия имеет конечную величину, в то время как «множитель Лоренца» при v→c стремится к нулю, а масса и, следовательно, и энергия стремится к бесконечности.
Принимая к сведению сказанное выше, можно сделать вывод о том, что выпадает второе, одно из главных оснований введения общего принципа относительности, а именно: новые преобразования координат в виде инварианта группы Лоренца недействительны для динамики.
И хотя никто до сих пор не хочет замечать, но и первый постулат о постоянстве скорости света (в смысле релятивистской формулы сложения скоростей) давно рухнул. Прямым следствием этого постулата является утверждение о невозможности никакими электромагнитными экспериментами (в частности, имелись в виду эксперименты Майкельсона – Морли) обнаружить движение инерционной системы, каковой можно считать Землю. Это было главным аргументом существования общего принципа относительности.
С самого начала этот постулат был введен с искажением результатов экспериментов Майкельсона – Морли [13], [14]. Результатом этих экспериментов было движение Земли относительно эфира со скоростью от 3 до 7,5км/с, что хотя и оказалось много меньше ожидаемой, но это был совсем не нулевой результат и он, скорее, подтверждал гипотезу Френеля о частичном увлечении эфира, чем показывал его отсутствие.
Однако затем были эксперименты Д.Миллера [15], который обнаружил, что с увеличением расстояния от поверхности Земли скорость эфира растет. На основании своих экспериментов и согласно гипотезе Френеля о частичном увлечении эфира, он пришел к выводу о том, что Земля в составе Солнечной системы имеет суммарное движение на север со скоростью более 200км/с (она может быть 300 и 400км/с).
Вывод Миллера блестяще подтвержден в 1958г. американскими физиками [16], сделавшими замеры анизотропии фонового излучения в космосе, которое релятивисты считают реликтовым. Земля движется относительно фонового излучения в составе Солнечной системы со скоростью ≈400км/с на север.
Обнаружение движения инерционной системы с помощью электромагнитных экспериментов, коими являются замеры анизотропии фонового излучения, опровергают релятивистскую формулу сложения скоростей и, следовательно, постулат о постоянстве скорости света относительно приемника.
Таким образом, исчезли все основания для введения общего принципа относительности. Его не существует в природе. Его введение Лоренцем, Пуанкаре и Эйнштейном ввергло физику на целое столетие в пучину математических формализмов, начиная от общей теории относительности (ОТО) Гроссмана – Эйнштейна, кончая релятивистской теорией гравитации (РТГ) Логунова – Местверишвили и др.
Исследователи планеты попали в ловушку, в бесконечный лабиринт, из которого нет, и не может быть выхода. Ежегодно на почве неудовлетворенности и критического подхода к ОТО возникают 2...3 новых математических формализма, якобы исправляющих и улучшающих ее. Возникло множество новых направлений, типа многомерных пространств, суперструн и других. Методология ОТО наложила свой отпечаток на электродинамику, квантовую механику, на физику элементарных частиц, затормозив их развитие.
* * *
Открытое Гауссом явление запаздывания потенциала – фундаментальный закон природы и распространяется на все виды взаимодействия. И в первую очередь это касается гравитации.
Естественно, что исследователи, понявшие это, сразу же начали делать попытки найти закон гравиодинамики. Но в отличие от электромагнитного взаимодействия, где отдельные свойства электродинамики были найдены посредством экспериментов Эрстедом, Араго, Ампером и Фарадеем, что позволяло проверить ее правильность, в гравитации был всего один единственный наблюдательный факт, открытый Леверье в 1859г. – аномальное смещение перигелия Меркурия, равное 41" за столетие.
Ритц, Цельнер, Тиссеран, Зеегерс, Хольцмюллер, Шейбнер, Леви, Льенар, Шварцшильд, Ритц, Максвелл – вот далеко неполный перечень исследователей пытавшихся открыть закон гравиодинамики. Они представляли физические школы трех государств Европы: Англии, Франции и Германии. Подавляющее же большинство ученых, как и тех, кто выводил свои законы электродинамики, среди которых были Гаусс, Вебер, Клаузиус, Ф.Нейман, К.Нейман, Риман, Гроссман и другие, были из Германии.
Долгое время все попытки создать закон гравитации с запаздывающим потенциалом, учитывающий механизм взаимодействия и дающий правильное значение аномальных смещений перигелиев планет, кончались неудачно. Так Максвелл после нескольких неудачных попыток вывода закона гравиодинамики написал: «Будучи неспособным понять, каким образом среда может обладать таким свойством, я не могу продвигаться дальше в этом направлении в поисках причин гравитации».
Но нашелся исследователь, который обошел трудности моделирования механизма взаимодействия. Им оказался учитель из Штаргарда Пауль Гербер. Он рассуждал так: поскольку взаимодействие передается через среду от точки к точке, то скорость распространения потенциала взаимодействия зависит от свойств среды и имеет конечную величину.
Конечная величина скорости взаимодействия влечет за собой для движущихся относительно друг друга взаимодействующих тел запаздывание потенциала, которое распределено на всем расстоянии между телами, и его величина, в таком случае, обратно пропорциональна скорости тела.
Взяв ньютонов потенциал:
V0 = m1m2 / r, (6)
подставив вместо r расстояние, которое должен пройти запаздывающий потенциал от m1 к m2:
, где: (7)
v – скорость распространения (взаимодействия);
а также введя пропорциональность запаздывания в единицу времени от скорости, которая оказалась равной
, (8)
он получил выражение для потенциала
. (9)
Подставив его в стандартное уравнение Лагранжа
, (10)
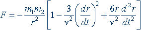
он получил закон гравиодинамики из трех членов, подобный закону электродинамики Вебера:
, (11)
который замечателен тем, что, если положить в нем скорость взаимодействия v равной скорости света с, то предсказываемые им смещения перигелиев планет равны наблюдаемым.
Статья Гербера под названием «Пространственное и временное распространение гравитации» [17] была напечатана в математико-физическом журнале Z.Math. Phys., 43, 93...104 в 1898г. за 17 лет до ОТО, появление которой в основном и связывалось с объяснением аномального смещения перигелия Меркурия.
Теперь, когда становится ясным, что общего принципа относительности не существует и ОТО оказалась также без оснований, возникает вопрос: почему ее выводы не противоречат наблюдаемым явлениям? Дело в том, и я писал об этом в статье «Общего принципа относительности не существует» [18], что множитель Лоренца, являющийся ключевым в ОТО, неплохо кореллирует до скорости тел v≤0,85с с множителем запаздывающего потенциала, в чем и убедился Лоренц для экспериментов Кауфмана. Те, кто внимательно читал статью Лоренца, мог бы заметить, что при v>0,85с расхождение с множителем Лоренца становится все большим. Если бы эти скорости приближались в эксперименте к с, то разница стала бы значительной, так как применение множителя Лоренца вело бы к увеличению массы и энергии до ∞, в то время как в эксперименте превысить энергию электрона, равную в (4), не удалось бы. Поперечное магнитное поле просто перестало бы влиять на движение электрона, и он бы двигался прямолинейно.
Все вышеприведенные доводы против общего принципа относительности и в пользу явления запаздывающего потенциала, в силу консерватизма, зачастую оправданного, ученых, воспитанных со школьной скамьи на релятивизме и отказе от здравого смысла, основанного на строгости логических законов, на причинности и познаваемости – главнейших законов развития физики, встречаются возражениями. Можно часто услышать, что поскольку теория относительности согласуется с наблюдаемыми явлениями, она имеет право на существование и тому подобное. На это мне хочется сказать следующее: любая неверная теория или заблуждение тормозили развитие науки. И особенно тогда, когда они становились доминирующими и общепризнанными, как это было, например, с птолемеевской системой. Однако в данном случае появилась возможность предъявить новые аргументы в пользу доказательства верности теории запаздывающего потенциала.
Поскольку в учебниках физики в школе и в университете о явлении запаздывания потенциала практически ничего нет, а то, что говорится – только в смысле мнения Гельмгольца – как о «школе дальнодействия», то мне посчастливилось открыть его для себя заново, независимо от Гаусса. Надо мной не довлел ничей авторитет, что позволило мне продвинуться в исследовании запаздывания потенциала дальше, чем написание законов динамики взаимодействий. Вскоре я обнаружил, что мои попытки написания законов запаздывания не нужны, поскольку над ними поработало много выдающихся физиков, таких как Гаусс, Вебер, Клаузиус, Максвелл, Гербер и других. Но вот, что касается предполагаемого открытия явления продольных колебаний движущихся тел, то эти исследования оригинальны: их никто никогда до меня не делал. Чтобы довести их сейчас до вашего сведения, мне потребовалось пересмотреть все развитие физики с момента появления общего принципа относительности (и ранее) [19], [20], [21], [22], [23].
* * *
Моделируя процесс запаздывания потенциала на движущемся пробном теле [24] с помощью трех переменных: скорости тела, силы взаимодействия и расстояния между телами, я обнаружил, что запаздывание потенциала происходит неравномерно, волнообразно. Это означает, что движение тел под действием любой силы: электрического или гравитационного поля, разницы давлений в атмосфере или жидкости и других, происходит с продольными колебаниями. При расстояниях, когда в нем укладывается хотя бы одна волна, скорость тел должна рассматриваться как фазовая.
Логическое решение, то есть выяснение прямой или обратной пропорциональности длины колебания всем трем переменным, приводит к выражению:
, где: (12)
λ – длина колебаний;
H – коэффициент пропорциональности;
vф – фазовая скорость тела;
R – расстояние между пробным и центральным телами R(t);
F(R) – закон взаимодействия.
Поскольку
λ = vф/v, а (13)
, то (14)
формула (12) преобразуется в:
Eдвиж = Hvф/λ = Hv. (15)
Однако энергию колебания тела можно выразить, как это делается в классической динамике, через vлин. макс.:
Eдвиж.= mv2лин. макс./2, где: (16)
vлин. макс. = vф f – (17)
мгновенная линейная максимальная скорость тела, а f=vлин. макс./vф – коэффициент, зависящий от закона запаздывания потенциала.
И тогда формулу (16) можно записать в виде:
Eдвиж. = mv2ф f 2 / 2 (18)
При малых скоростях v<2/2 практически не отличается от 1/2, а при приближении к u значение f нелинейно приближается к некой максимальной величине α, и тогда:
Eдвиж. = αmeu2, где (19)
α – максимальная величина f 2 / 2 при скорости u.
Приравнивая (15) и (18), поскольку они являются выражениями одной и той же энергии движения, получим еще одну формулу длины продольных колебаний движущихся тел:
















